最新更新 :
18/03/2026
利尿剂   Spironolactone  
药膏
口服剂
制剂的稳定性 混合物稳定性 影响稳定性的因素 兼容性 引用文献 PDF
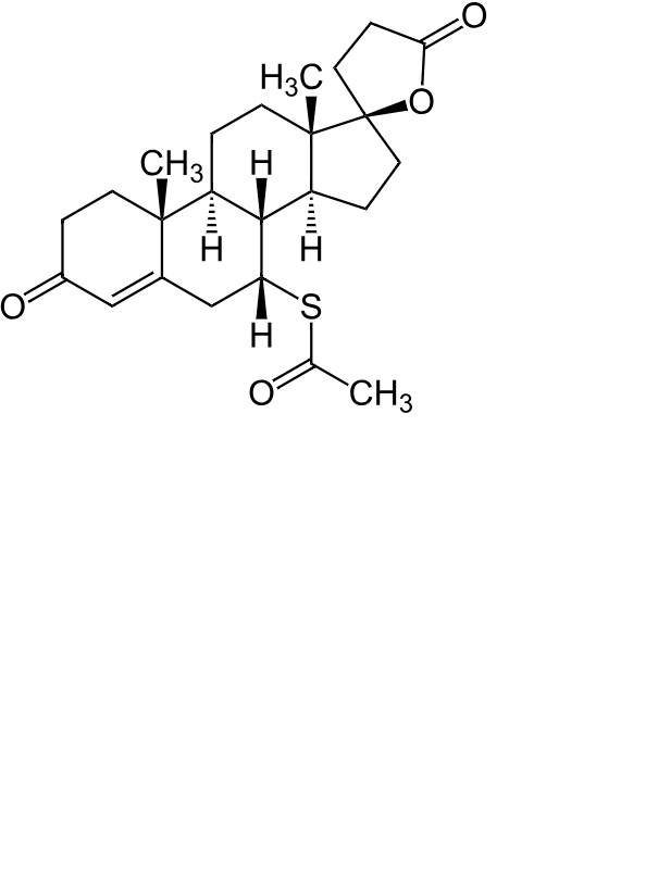
   化学式  

药膏
制剂的稳定性   药膏   制剂的稳定性 : Spironolactone     
容器 Origine 添加剂 温度 保存 穩定持續時間 引用文献
玻璃 粉剂 1 g
® = ?
Cremophor RH 40 6 g
TrichoSol® >> 100 ml
25°C 避光
120 白天
4921

  Mentions Légales