Viimeisin päivitys :
18/03/2026
Infostab
Luettelo yhdisteistä
Yhteenveto-luettelot
Etsi yhteensopivuutta
Y-sivuston yhteensopivuustaulukko
Viitteet
tutkimus Joukkueet
valistab
ilmoitus
Liitännät
sponsorit
Tekijät
Käyttöohje
Uutiskirje
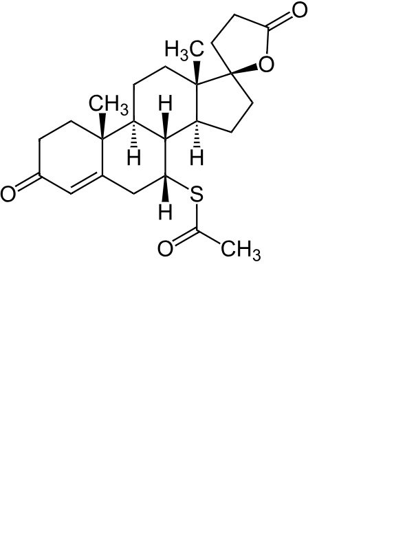
Spironolactone
Kemiallinen rakenne
Vakaus lääkevalmisteen : Spironolactone
1 g
® = ?
Cremophor RH 40
6 g
TrichoSol®
>> 100 ml
25°C
120
4921
Mentions Légales