آخر تحديث :
18/03/2026
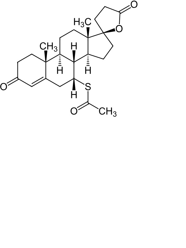
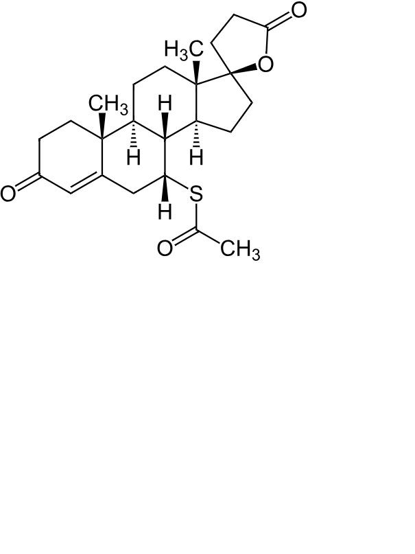
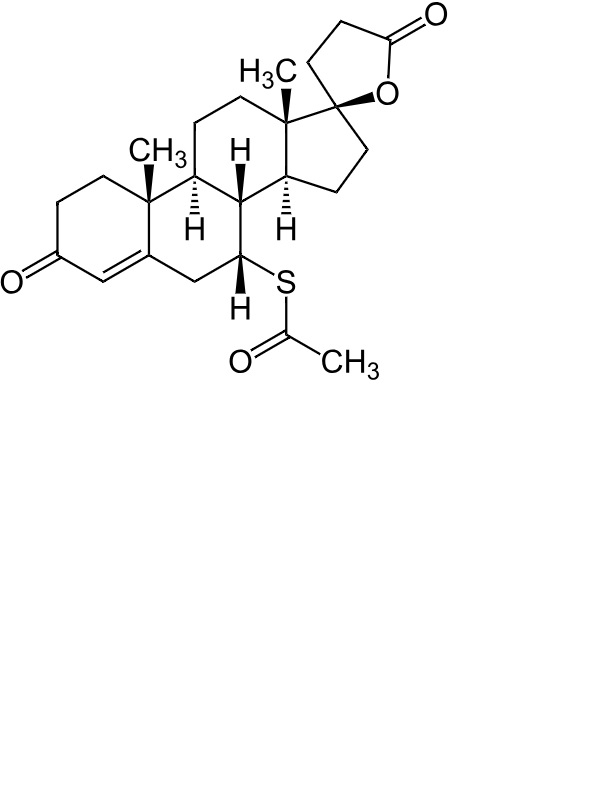
مدر للبول   Spironolactone  
المراهم
عن طريق الفم
استقرار المستحضرات الصيدلانية استقرار مخاليط العوامل التي تؤثر على الاستقرار التوافق مراجع pdf
   التركيب الكيميائي  

المراهم
استقرار المستحضرات الصيدلانية   المراهم   استقرار المستحضرات الصيدلانية : Spironolactone     
حاوية Origine الاضافات درجة الحرارة تخزين مدة الاستقرار مراجع
زجاج مسحوق 1 g
® = ?
Cremophor RH 40 6 g
TrichoSol® >> 100 ml
25°C بعيدا عن الضوء
120 يوم
4921

  Mentions Légales