Ultimele actualizari :
05/12/2025
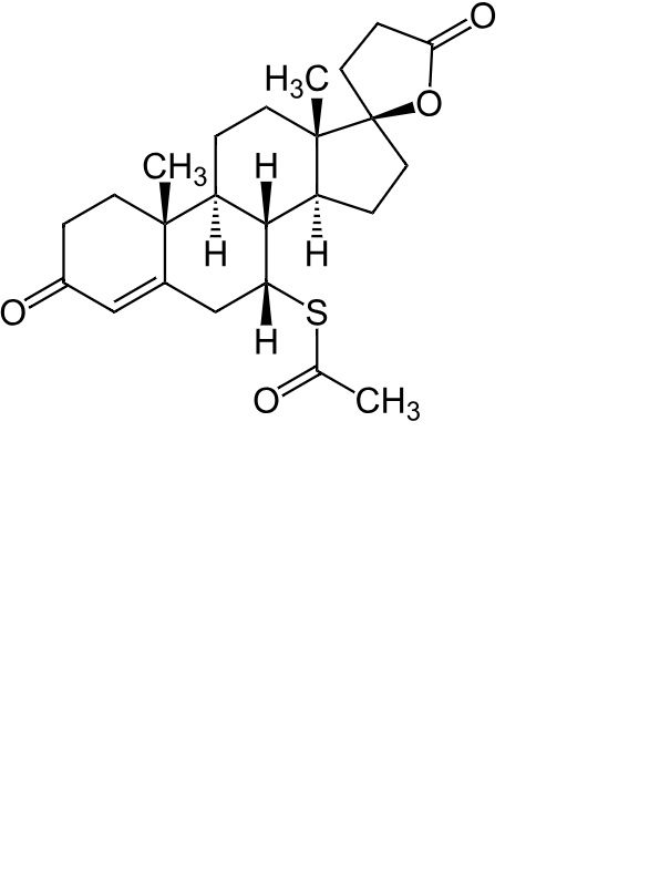
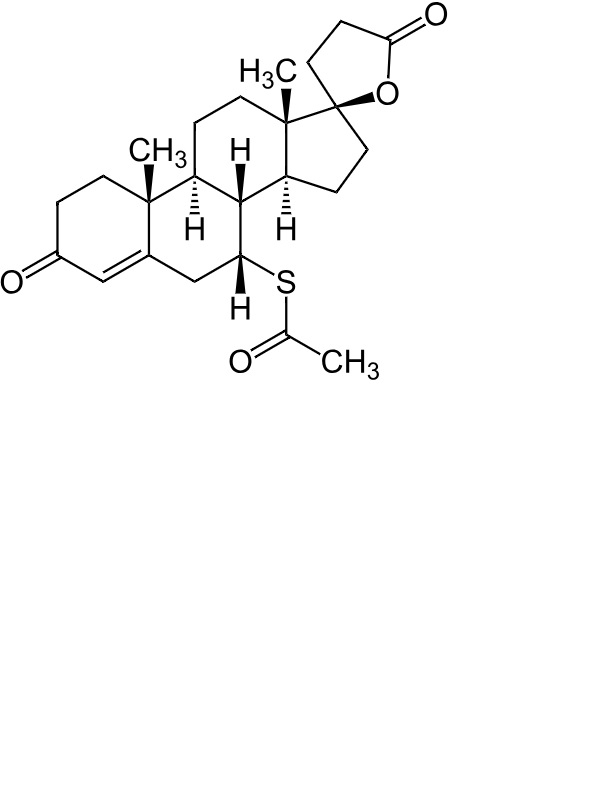
Diuretic   Spironolactone  
Unguente
Soluţie orală
Stabilitatea preparatelor farmaceutice Stabilitatea in amestec Factorii care influenteaza stabilitatea Compatibilitate Bibliografie pdf
   Formula chimica  

Unguente
Stabilitatea preparatelor farmaceutice   Unguente   Stabilitatea preparatelor farmaceutice : Spironolactone     
Continut Origine Excipient Temperatura Conservare Durata stabilității Bibiografie
sticla praf 1 g
® = ?
Cremophor RH 40 6 g
TrichoSol® >> 100 ml
25°C Ferit de lumina
120 Ziua
4921

  Mentions Légales