Cập nhật lần cuối :
18/03/2026
Khác   Cholic acid  
Viên nang
Tính ổn định của các chế phẩm Độ ổn định khi trộn lẫn Những yếu tố ảnh hưởng đến độ ổn định Khả năng tương thích Tài liệu tham khảo Pdf
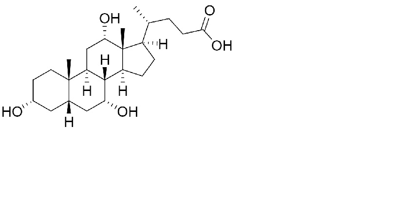
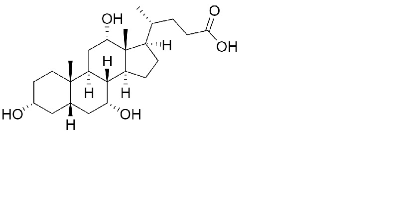
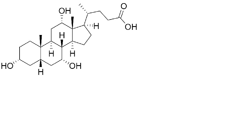
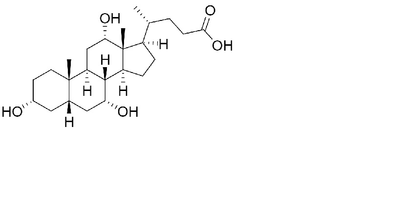
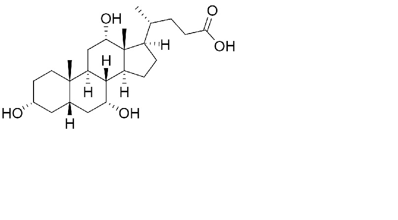
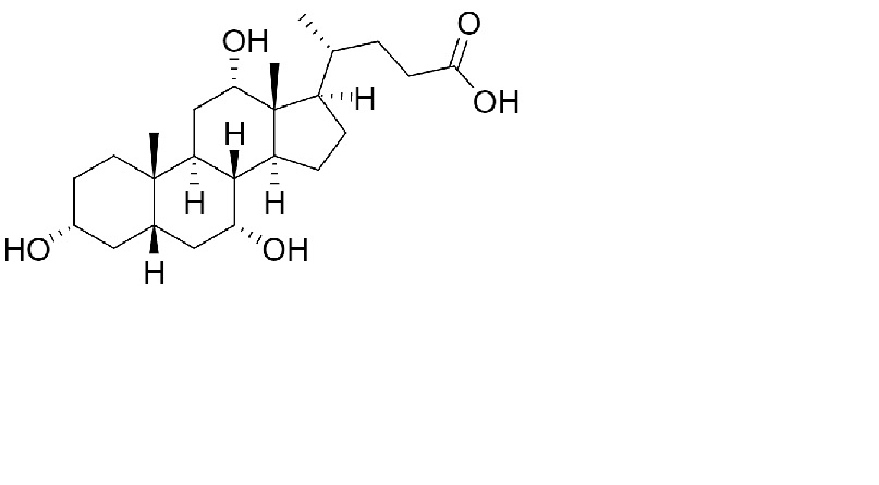
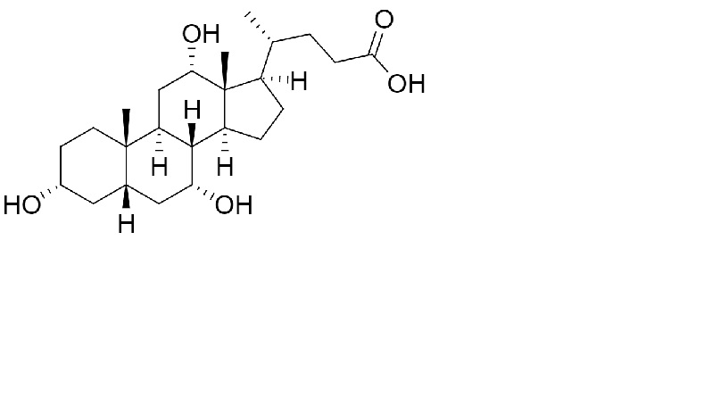
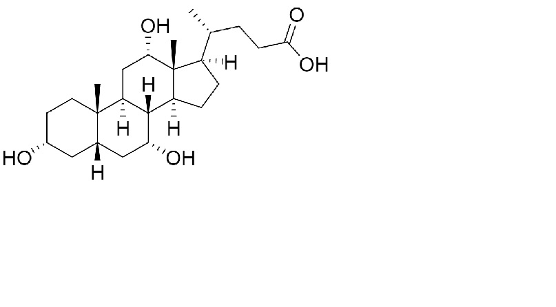
   Cấu trúc hóa học  

Viên nang
Tính ổn định của các chế phẩm   Viên nang   Tính ổn định của các chế phẩm : Cholic acid     
Bao bì Nguyên bản Tá dược Nhiệt độ Bảo quản Thời gian ổn định Mục lục
Lọ nhựa Bột 25 mg
® = ?
keo silica >>
Lactose >>
23-27°C Tránh ánh sáng
365 Ngày
4751

Lọ nhựa Bột 250 mg
® = ?
keo silica >>
23-27°C Tránh ánh sáng
365 Ngày
4751

Lọ nhựa Bột 25 mg
® = ?
keo silica >>
Lactose >>
38-42°C Tránh ánh sáng
365 Ngày
4751

Lọ nhựa Bột 250 mg
® = ?
keo silica >>
38-42°C Tránh ánh sáng
365 Ngày
4751


  Mentions Légales