Poslední aktualizace :
12/12/2025
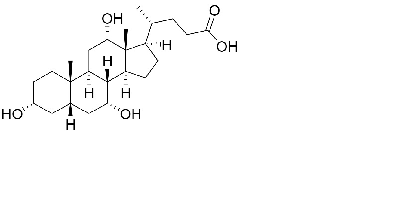
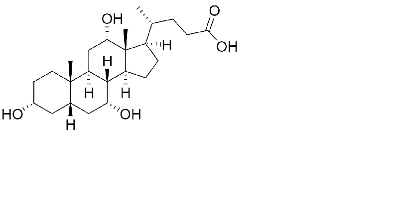
Různé   Cholic acid  
kapsle
Stabilita farmaceutických přípravků Stabilita směsí Faktory ovlivňující stabilitu Kompatibilita Odkazy pdf
   Chemický vzorec  

kapsle
Stabilita farmaceutických přípravků   kapsle   Stabilita farmaceutických přípravků : Cholic acid     
Obal Origine Pomocné látky Teplota Uchovávání Trvání stability Odkazy
plastová láhev prášek 25 mg
® = ?
koloidní oxid křemičitý >>
laktóza >>
23-27°C Chráněno před světlem
365 Den
4751

plastová láhev prášek 250 mg
® = ?
koloidní oxid křemičitý >>
23-27°C Chráněno před světlem
365 Den
4751

plastová láhev prášek 25 mg
® = ?
koloidní oxid křemičitý >>
laktóza >>
38-42°C Chráněno před světlem
365 Den
4751

plastová láhev prášek 250 mg
® = ?
koloidní oxid křemičitý >>
38-42°C Chráněno před světlem
365 Den
4751


  Mentions Légales