Останнє оновлення :
18/03/2026
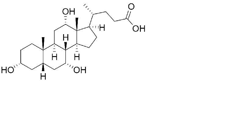
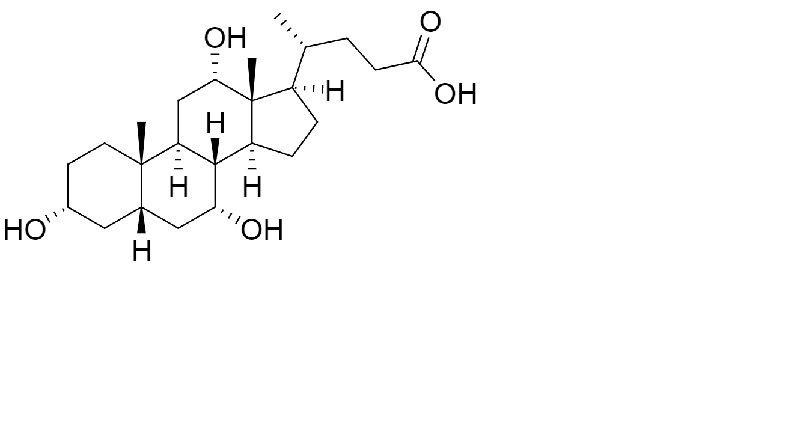
різноманітні   Cholic acid  
капсула
Стабільність фармацевтичних препаратів Стійкість сумішей Фактори, що впливають на стабільність Сумісність Список літератури pdf
   Хімічна структура  

капсула
Стабільність фармацевтичних препаратів   капсула   Стабільність фармацевтичних препаратів : Cholic acid     
Контейнер Origine допоміжна речовина температура Зберігання Тривалість стабільності Список літератури
пластикова пляшка powder 25 mg
® = ?
колоїдний кремнезем >>
лактоза >>
23-27°C Берегти від світла
365 День
4751

пластикова пляшка powder 250 mg
® = ?
колоїдний кремнезем >>
23-27°C Берегти від світла
365 День
4751

пластикова пляшка powder 25 mg
® = ?
колоїдний кремнезем >>
лактоза >>
38-42°C Берегти від світла
365 День
4751

пластикова пляшка powder 250 mg
® = ?
колоїдний кремнезем >>
38-42°C Берегти від світла
365 День
4751


  Mentions Légales