Last update :
18/03/2026
Various   Cholic acid  
Capsule
Stability of pharmaceutical preparations Stability of mixtures Factors which affect stability Compatibility References pdf
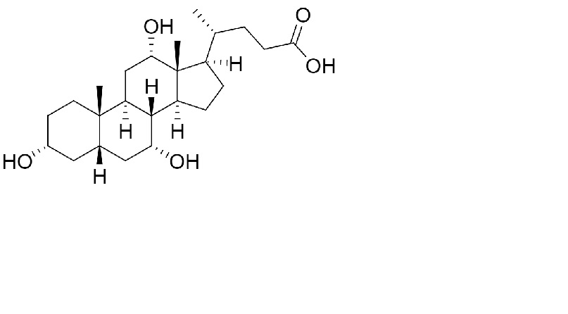
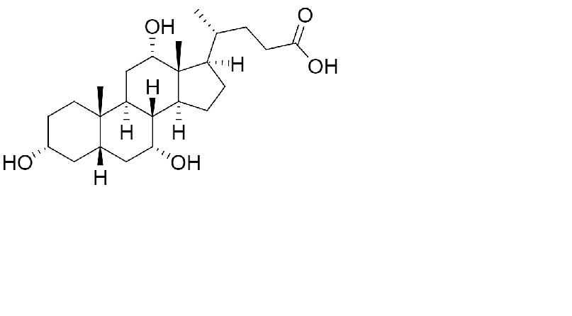
   Chemical structure  

Capsule
Stability of pharmaceutical preparations   Capsule   Stability of pharmaceutical preparations : Cholic acid     
Container Origine excipient Temperature Storage Duration of stability References
plastic bottle powder 25 mg
® = ?
colloidal silica >>
Lactose >>
23-27°C Protect from light
365 Day
4751

plastic bottle powder 250 mg
® = ?
colloidal silica >>
23-27°C Protect from light
365 Day
4751

plastic bottle powder 25 mg
® = ?
colloidal silica >>
Lactose >>
38-42°C Protect from light
365 Day
4751

plastic bottle powder 250 mg
® = ?
colloidal silica >>
38-42°C Protect from light
365 Day
4751


  Mentions Légales