Última actualización :
03/02/2026
Varios   Cholic acid  
Cápsula
La estabilidad de las preparaciones farmacéuticas Estabilidad en mezcla Factores que influyen sobre la estabilidad Compatibilidades Bibliografía pdf
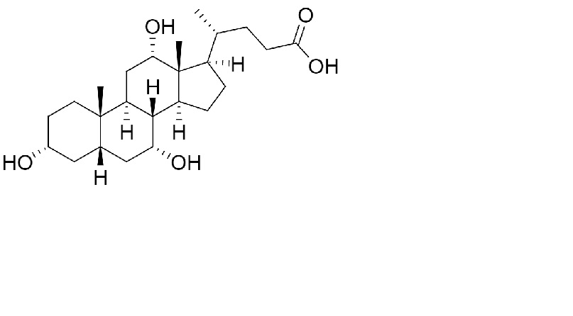
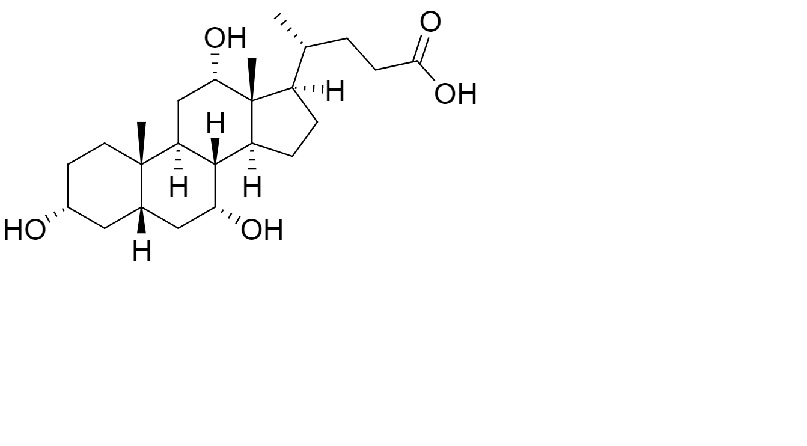
   Estructura química  

Cápsula
La estabilidad de las preparaciones farmacéuticas   Cápsula   La estabilidad de las preparaciones farmacéuticas : Cholic acid     
Envase Origine Excipiente Temperatura Conservación Duración de la estabilidad Bibliografía
Botella de plástico Polvo 25 mg
® = ?
sílice coloidal >>
Lactosa >>
23-27°C A cubierto de la luz
365 Día
4751

Botella de plástico Polvo 250 mg
® = ?
sílice coloidal >>
23-27°C A cubierto de la luz
365 Día
4751

Botella de plástico Polvo 25 mg
® = ?
sílice coloidal >>
Lactosa >>
38-42°C A cubierto de la luz
365 Día
4751

Botella de plástico Polvo 250 mg
® = ?
sílice coloidal >>
38-42°C A cubierto de la luz
365 Día
4751


  Mentions Légales