zadnja posodobitev :
18/03/2026
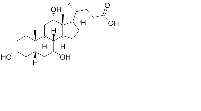
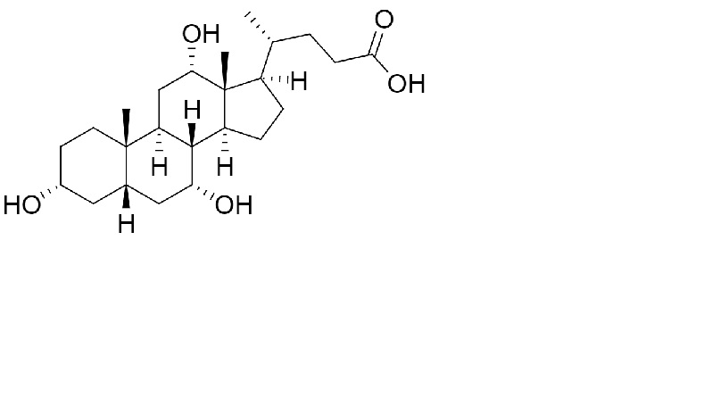
Različen   Cholic acid  
Kapsula
Stabilnost farmacevtskih preparatov Stabilnost mešanice Faktorji, ki vplivajo na stabilnost Kompatibilnost Viri pdf
   Kemična formula  

Kapsula
Stabilnost farmacevtskih preparatov   Kapsula   Stabilnost farmacevtskih preparatov : Cholic acid     
Vsebnik Origine Ekscipient Temperatura Shranjevanje Trajanje stabilnosti Viri
Plastenka Prašek 25 mg
® = ?
koloidni silicijev dioksid >>
Laktoza >>
23-27°C Zaščiteno pred svetlobo
365 Dan
4751

Plastenka Prašek 250 mg
® = ?
koloidni silicijev dioksid >>
23-27°C Zaščiteno pred svetlobo
365 Dan
4751

Plastenka Prašek 25 mg
® = ?
koloidni silicijev dioksid >>
Laktoza >>
38-42°C Zaščiteno pred svetlobo
365 Dan
4751

Plastenka Prašek 250 mg
® = ?
koloidni silicijev dioksid >>
38-42°C Zaščiteno pred svetlobo
365 Dan
4751


  Mentions Légales