Senaste uppdateringen :
17/12/2025
Muskel avslappande medel   Atracurium besylate  
injektion
Lösningars stabilitet Stabilitet i blandningar Faktorer som påverkar stabiliteten Kompatibilitet Administreringssätt Hänvisningar pdf
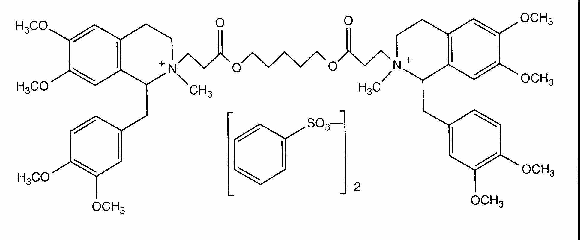
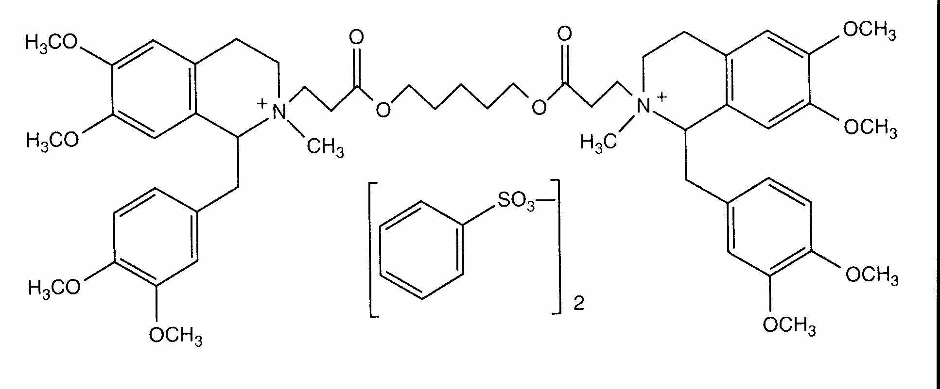
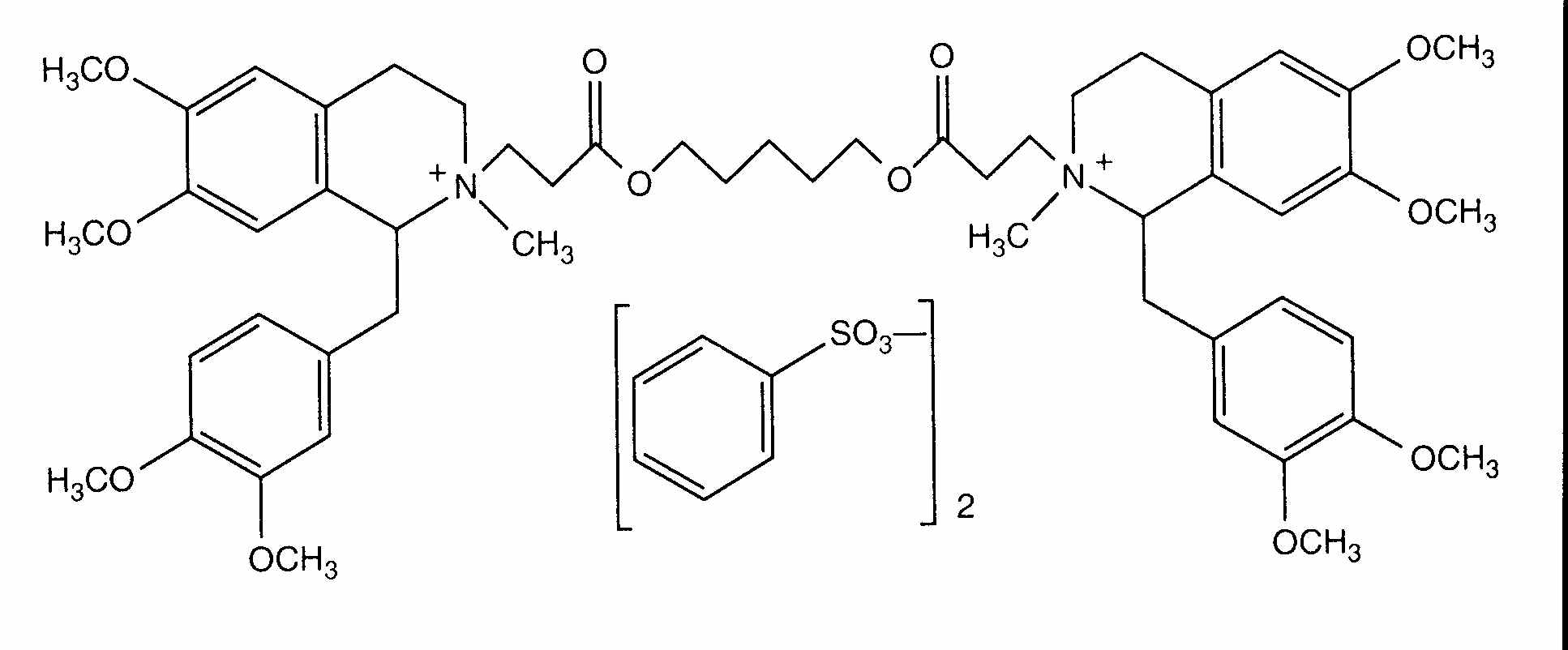
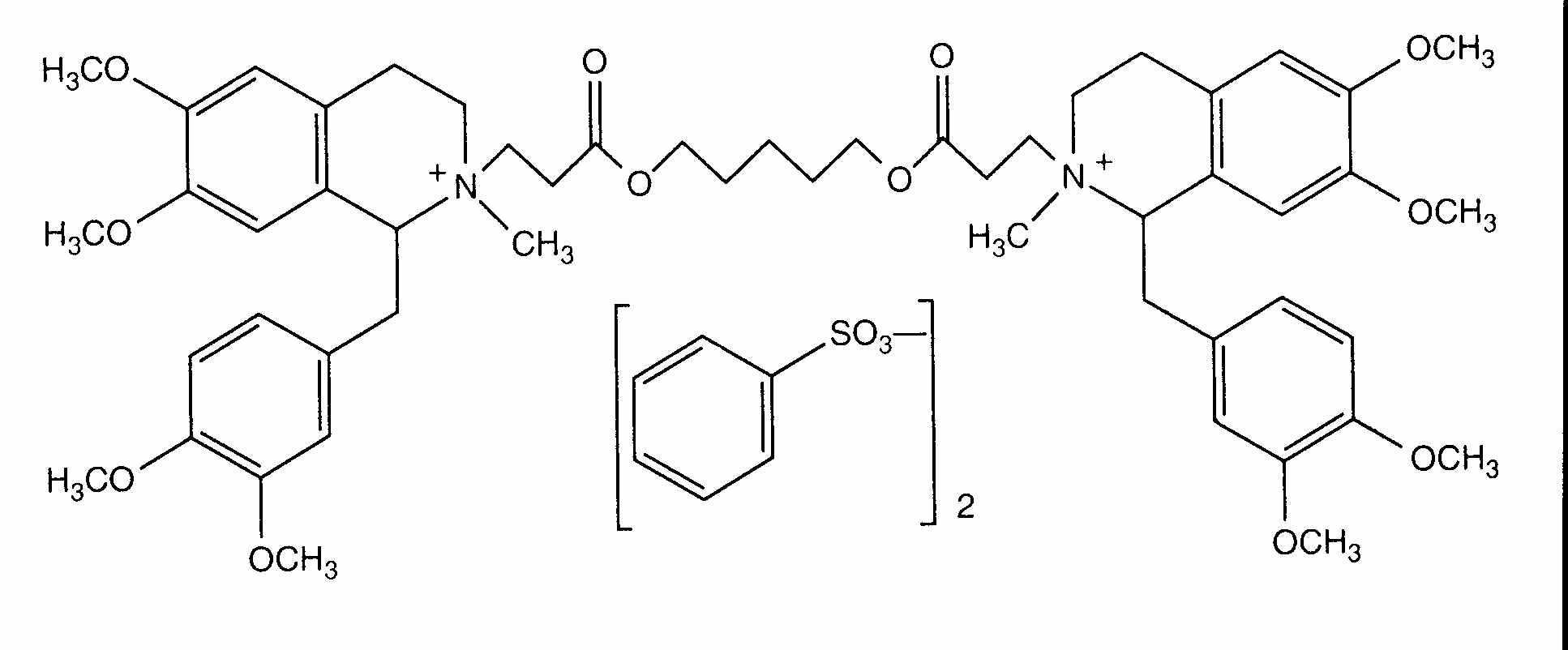
   Molekylstruktur  

Varunamn   Varunamn     

Angivna handelsnamn på läkemedel är enbart vägledande då formulering inklusive hjälpämnen kan variera mellan länder och tillverkare

Abbocurium Polen
Acurmil Italien
Ancour Iran
Anecur Iran
Atacur Saudi-Arabien
Atrabesylate Egypten
Atracurio Argentina, Brasilien, Spanien
Atracurio besilato Chile, Italien, Peru, Venezuela
Atracurium Argentina, Egypten, Förenade Arabemiraten, Iran, Italien, Malaysia, Österrike, Saudi-Arabien, Storbritannien, Sverige, Tyskland
Atracurium besilat Österrike
Atracurium besilate Australien, Egypten, Förenade Arabemiraten, Förenta Staterna, Iran, Kanada, nya Zeeland, Saudi-Arabien
Atralex Malaysia
Atrasyl Turkiet
Besilato Atracurio Chile, Portugal, Spanien
Faulcurium Egypten, Portugal
Gelolagar Argentina
Laurak Spanien
Neucurium Turkiet
Notrixum Turkiet
Relactrac Colombia
Relatrac Mexiko
Tracrium Belgien, Chile, Colombia, Ecuador, Egypten, Förenade Arabemiraten, Förenta Staterna, Frankrike, Grekland, Iran, Irland, Italien, Luxemburg, Malaysia, Marocko, Mexiko, Nederländerna, nya Zeeland, Österrike, Polen, Portugal, Rumänien, Saudi-Arabien, Schweiz, Slovenien, Spanien, Storbritannien, Turkiet, Tyskland, Ungern
Tracumek Peru
Tracurix Argentina
Tracuron Argentina

Faktorer som påverkar stabiliteten   injektion   Faktorer som påverkar stabiliteten : Atracurium besylate        
Hänvisningar
Temperatur Ökning Orsakar Nedbrytning 657
pH pH >7 Orsakar Nedbrytning 3629

  Mentions Légales