Última actualización :
18/03/2026
Curarizante   Atracurium besylate  
Inyectables
Estabilidad en solucion Estabilidad en mezcla Factores que influyen sobre la estabilidad Compatibilidades método de inyección Bibliografía pdf
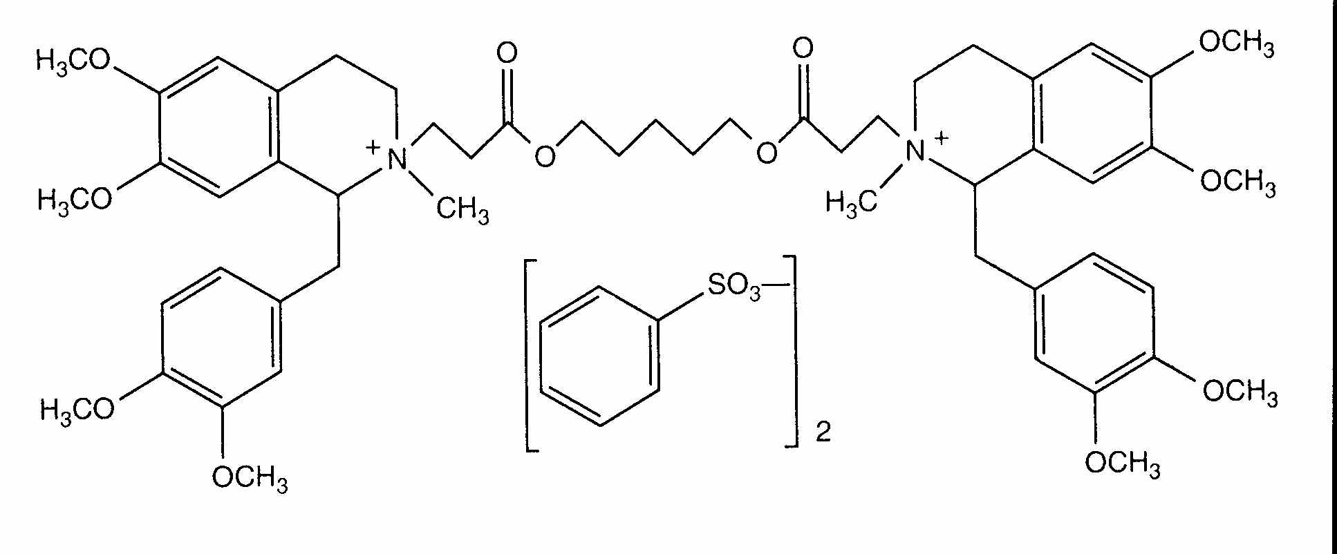
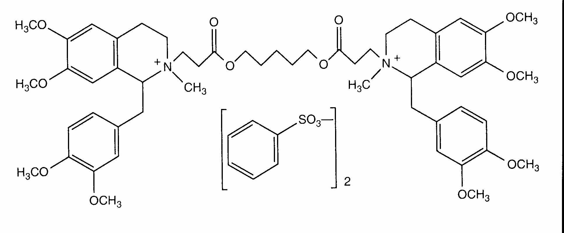
   Estructura química  

Nombre comercial   Nombre comercial     

Los nombres comerciales son orientativos y los excipientes de la formulación pueden ser distintos dependiendo del país y del laboratorio fabricante.

Abbocurium Polonia
Acurmil Italia
Ancour Irán
Anecur Irán
Atacur Arabia Saudita
Atrabesylate Egipto
Atracurio Argentina, Brasil, España
Atracurio besilato Chile, Italia, Marruecos, Venezuela
Atracurium Alemania, Arabia Saudita, Argentina, Austria, Egipto, Emiratos Árabes Unidos, Gran Bretaña, Irán, Italia, Malasia, Suecia
Atracurium besilat Austria
Atracurium besilate Arabia Saudita, Australia, Canadá, Egipto, Emiratos Árabes Unidos, Estados Unidos de América, Irán, Nueva Zelanda
Atralex Malasia
Atrasyl Turquía
Besilato Atracurio Chile, España, Portugal
Faulcurium Egipto, Portugal
Gelolagar Argentina
Laurak España
Neucurium Turquía
Notrixum Turquía
Relactrac Colombia
Relatrac México
Tracrium Alemania, Arabia Saudita, Austria, Bélgica, Chile, Colombia, Ecuador, Egipto, Emiratos Árabes Unidos, Eslovenia, España, Estados Unidos de América, Francia, Gran Bretaña, Grecia, Hungría, Irán, Irlanda, Italia, Luxemburgo, Malasia, Marruecos, México, Nueva Zelanda, Países Bajos, Polonia, Portugal, Rumania, Suiza, Turquía
Tracumek Marruecos
Tracurix Argentina
Tracuron Argentina

Factores que influyen sobre la estabilidad   Inyectables   Factores que influyen sobre la estabilidad : Atracurium besylate        
Bibliografía
Temperatura Aumento Provoque Degradación 657
pH pH >7 Provoque Degradación 3629

  Mentions Légales