Dernière mise à jour :
17/12/2025
Curarisant   Atracurium besylate  
injectable
Stabilité des solutions Stabilité en mélange Facteur influençant la stabilité Compatibilités Voie d’administration Bibliographie pdf
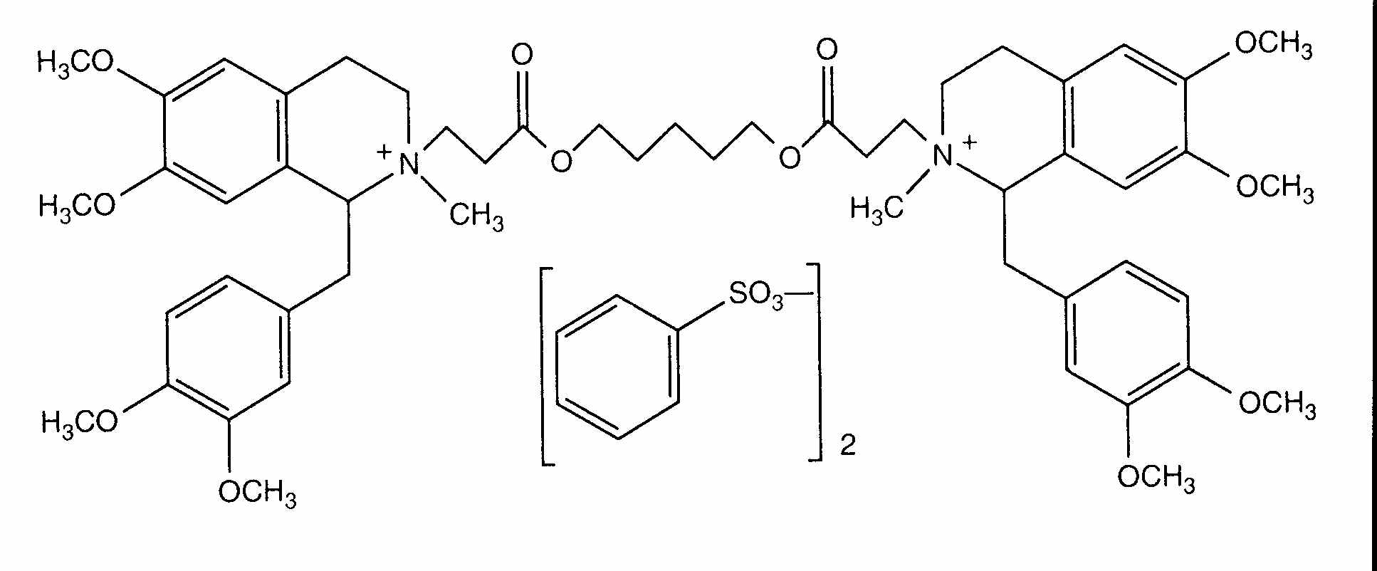
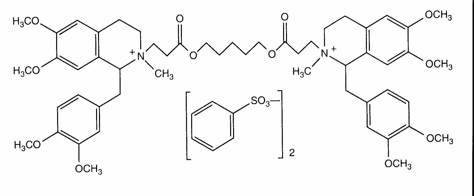
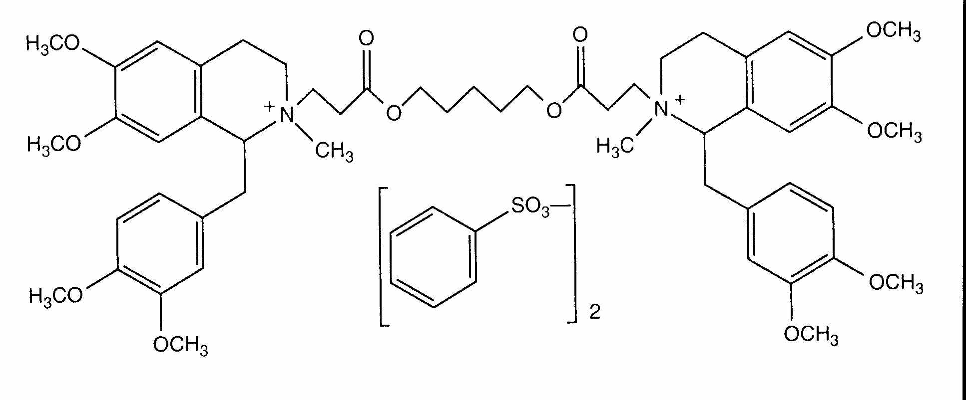
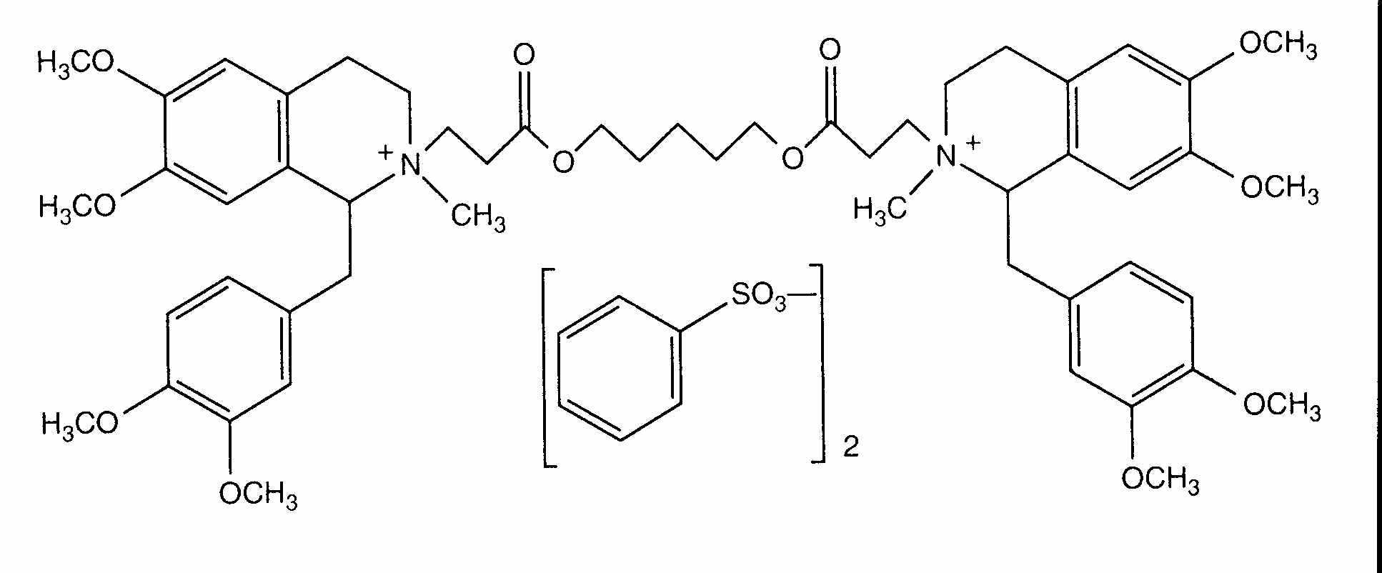
   Structure chimique  

Noms commerciaux   Noms commerciaux     

Les noms commerciaux sont donnés à titre indicatif et la composition en excipients peut être différente selon les pays et selon les laboratoires

Abbocurium Pologne
Acurmil Italie
Ancour Iran
Anecur Iran
Atacur Arabie Saoudite
Atrabesylate Egypte
Atracurio Argentine, Brésil, Espagne
Atracurio besilato Chili, Italie, Pérou, Vénézuela
Atracurium Allemagne, Arabie Saoudite, Argentine, Autriche, Egypte, Emirats Arabes Unis , Grande Bretagne, Iran, Italie, Malaisie, Suède
Atracurium besilat Autriche
Atracurium besilate Arabie Saoudite, Australie, Canada, Egypte, Emirats Arabes Unis , Etats Unis d’Amérique, Iran, Nouvelle Zélande
Atralex Malaisie
Atrasyl Turquie
Besilato Atracurio Chili, Espagne, Portugal
Faulcurium Egypte, Portugal
Gelolagar Argentine
Laurak Espagne
Neucurium Turquie
Notrixum Turquie
Relactrac Colombie
Relatrac Mexique
Tracrium Allemagne, Arabie Saoudite, Autriche, Belgique, Chili, Colombie, Egypte, Emirats Arabes Unis , Equateur, Espagne, Etats Unis d’Amérique, France, Grande Bretagne, Grèce, Hongrie, Iran, Irlande, Italie, Luxembourg, Malaisie, Maroc, Mexique, Nouvelle Zélande, Pays bas, Pologne, Portugal, Roumanie, Slovénie, Suisse, Turquie
Tracumek Pérou
Tracurix Argentine
Tracuron Argentine

Facteur influençant la stabilité   injectable   Facteur influençant la stabilité : Atracurium besylate        
Bibliographie
Température Augmentation Provoque Dégradation 657
pH pH >7 Provoque Dégradation 3629

  Mentions Légales