Última actualização :
18/03/2026
Curarizante   Atracurium besylate  
injetável
Estabilidade em soluções simples Estabilidade em misturas Factores que afectam a sua estabilidade Compatibilidade Método de administração Bibliografía pdf
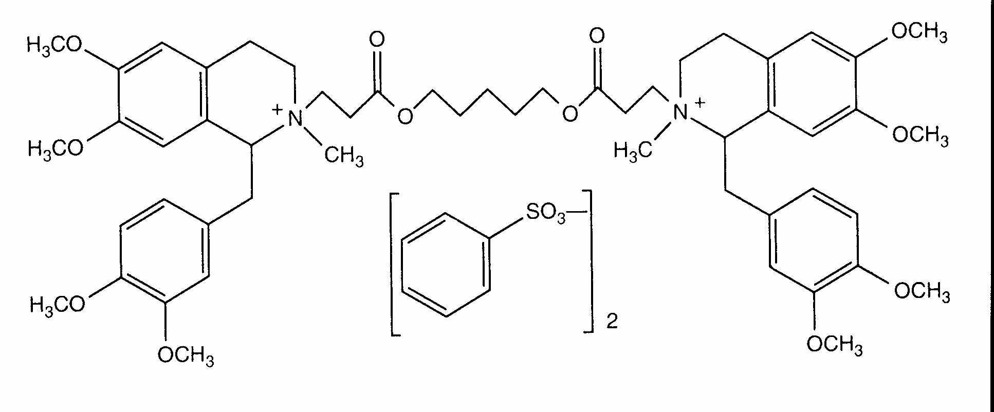
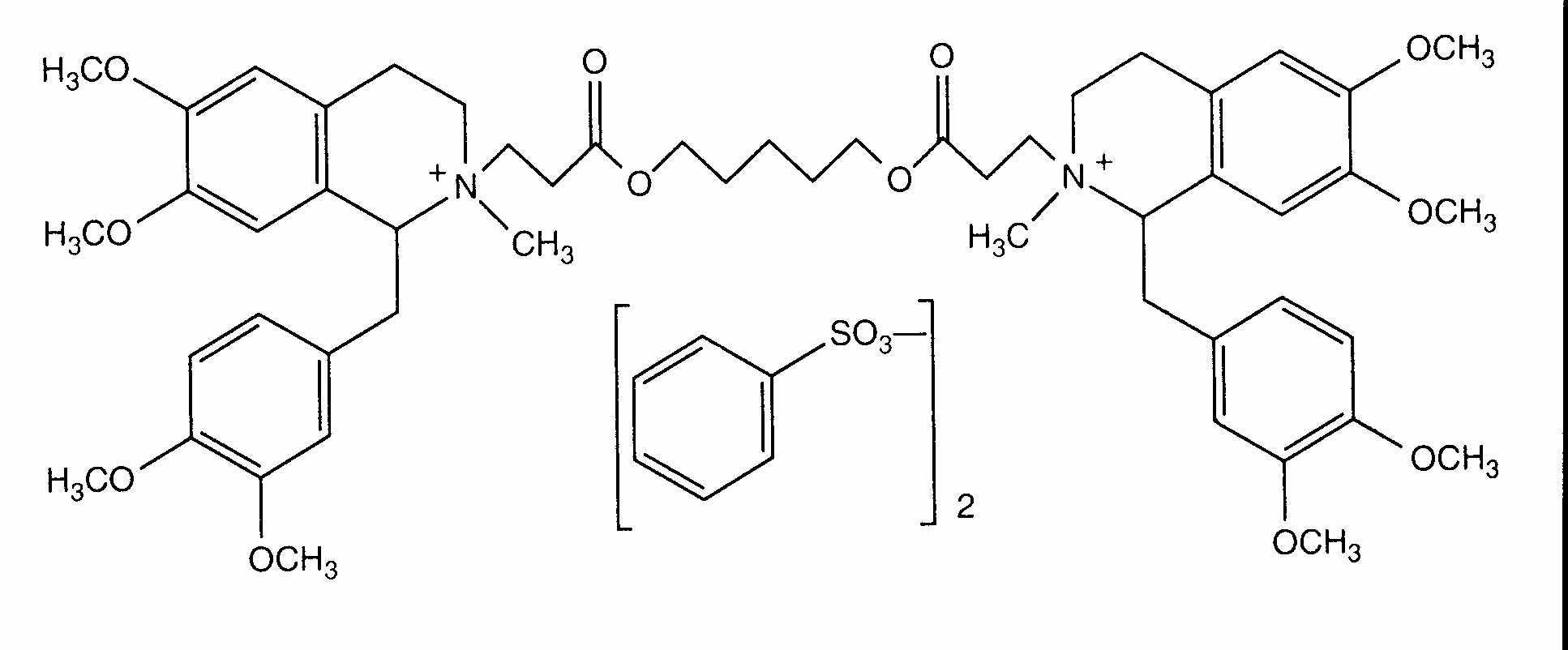
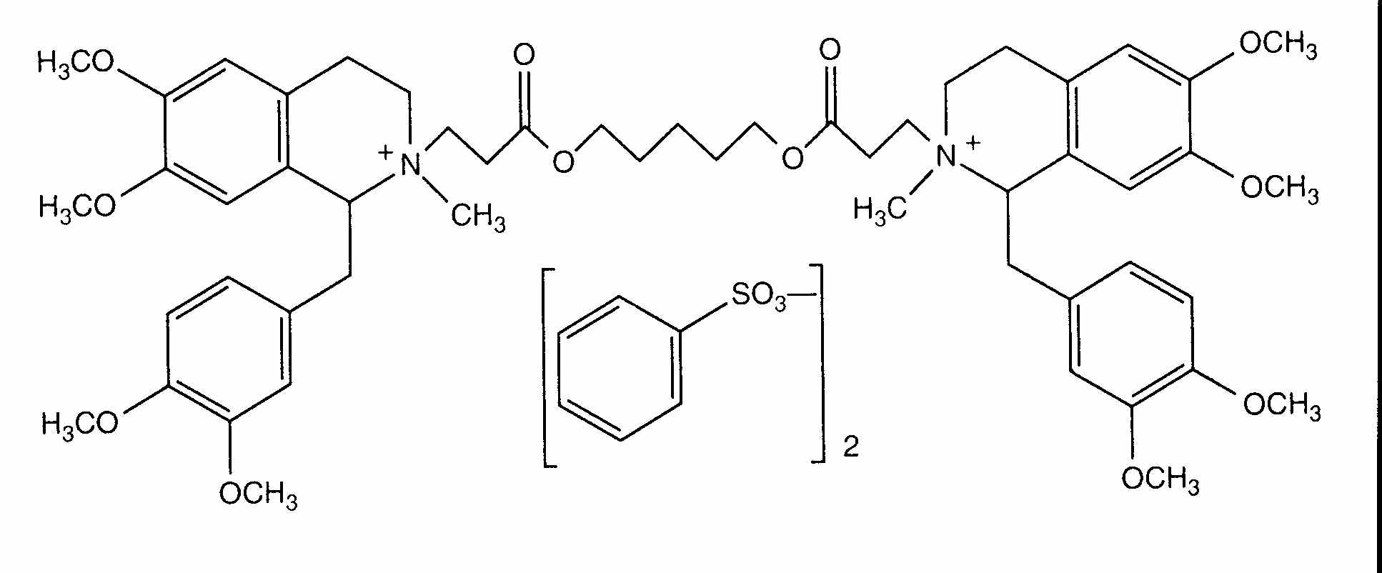
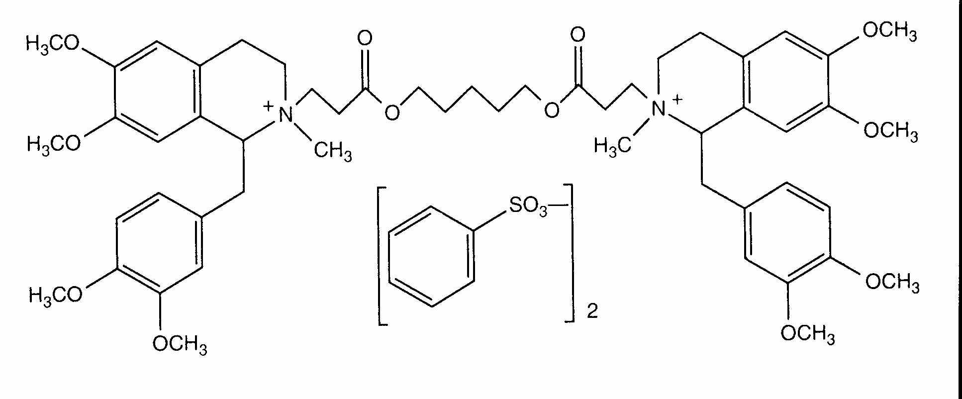
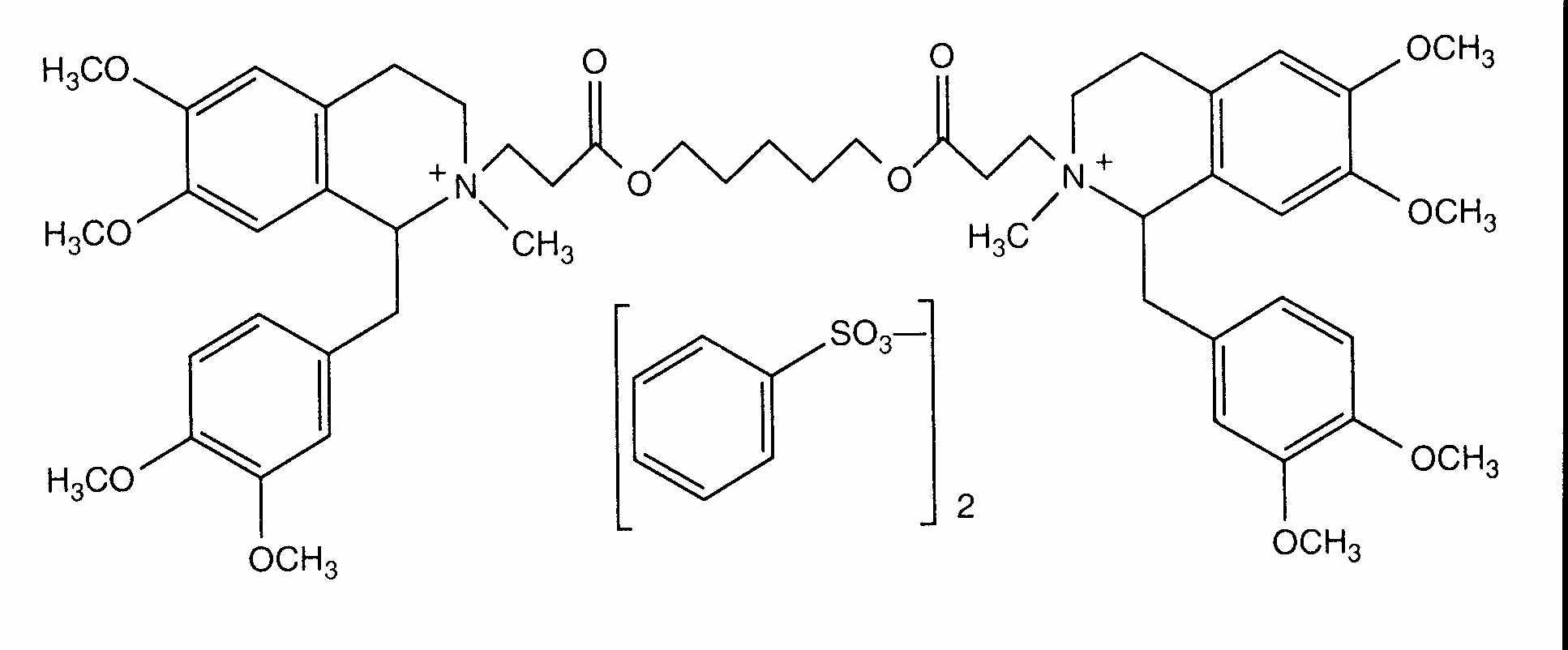
   estrutura química  

Nomes comerciais nos diversos países   Nomes comerciais nos diversos países     

OS NOMES COMERCIAIS SÃO INDICATIVOS E OS EXCIPIENTES DA FORMULAÇÃO PODEM SER DIFERENTES CONFORME O PAÍS E FABRICANTE.

Abbocurium Polonia
Acurmil Itália
Ancour Irã
Anecur Irã
Atacur Arábia Saudita
Atrabesylate Egipto
Atracurio Argentina, Brasil, Espanha
Atracurio besilato Chilli, Itália, Peru, Venezuela
Atracurium Alemanha, Arábia Saudita, Argentina, Austria, Egipto, Emirados Árabes Unidos, Gran-bretanha, Irã, Itália, Malásia, Suècia
Atracurium besilat Austria
Atracurium besilate Arábia Saudita, Australia, Canadá, Egipto, Emirados Árabes Unidos, Estados Unidos de América, Irã, nova Zelândia
Atralex Malásia
Atrasyl Turquia
Besilato Atracurio Chilli, Espanha, Portugal
Faulcurium Egipto, Portugal
Gelolagar Argentina
Laurak Espanha
Neucurium Turquia
Notrixum Turquia
Relactrac Colômbia
Relatrac México
Tracrium Alemanha, Arábia Saudita, Austria, Bélgica, Chilli, Colômbia, Egipto, Emirados Árabes Unidos, Equator, Eslovenia, Espanha, Estados Unidos de América, França, Gran-bretanha, Grècia, Hungria, Irã, Irlanda, Itália, Luxemburgo, Malásia, Marrocos, México, nova Zelândia, Países Baixos, Polonia, Portugal, Romènia, Suicia, Turquia
Tracumek Peru
Tracurix Argentina
Tracuron Argentina

Factores que afectam a sua estabilidade   injetável   Factores que afectam a sua estabilidade : Atracurium besylate        
Bibliografia
temperatura Aumento Provoca Degradação 657
pH pH >7 Provoca Degradação 3629

  Mentions Légales