Последно актуализиране :
18/03/2026
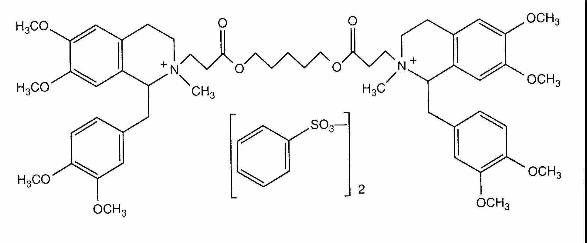
Кураре-миметик   Atracurium besylate  
Инжекция/Инжекционен
Стабилност на разтвори Стабилност на смеси Фактори, повлияващи стабилността Съвместимост Път на въвеждане Библиография Pdf
   Химична структура  

Търговско наименование   Търговско наименование     

Търговските имена са примерни и съставът на помощните вещества може да бъде различен в зависимост от държавата и лабораториите

Abbocurium Полша
Acurmil Италия
Ancour Иран
Anecur Иран
Atacur Саудитска Арабия
Atrabesylate Египет
Atracurio Аржентина, Бразилия, Испания
Atracurio besilato Венецуела, Италия, Перу, Чили
Atracurium Австрия, Аржентина, Великобритания, Германия, Египет, Иран, Италия, Малайзия, Обединени арабски емирства, Саудитска Арабия, Швеция
Atracurium besilat Австрия
Atracurium besilate Австралия, Египет, Иран, Канада, нова Зеландия, Обединени арабски емирства, Саудитска Арабия, Съединени Американски щати / САЩ
Atralex Малайзия
Atrasyl Турция
Besilato Atracurio Испания, Португалия, Чили
Faulcurium Египет, Португалия
Gelolagar Аржентина
Laurak Испания
Neucurium Турция
Notrixum Турция
Relactrac Колумбия
Relatrac Мексико
Tracrium Австрия, Белгия, Великобритания, Германия, Гърция, Египет, Еквадор, Иран, Ирландия, Испания, Италия, Колумбия, Люксенбург, Малайзия, Мароко, Мексико, нова Зеландия, Обединени арабски емирства, Полша, Португалия, Румъния, Саудитска Арабия, Словения, Съединени Американски щати / САЩ, Турция, Унгария, Франция, Холандия, Чили, Швейцария
Tracumek Перу
Tracurix Аржентина
Tracuron Аржентина

Фактори, повлияващи стабилността   Инжекция/Инжекционен   Фактори, повлияващи стабилността : Atracurium besylate        
Библиография
Температура Увеличаване Предизвиква Разграждане 657
рН pH >7 Предизвиква Разграждане 3629

  Mentions Légales