Siste oppdatering :
18/03/2026
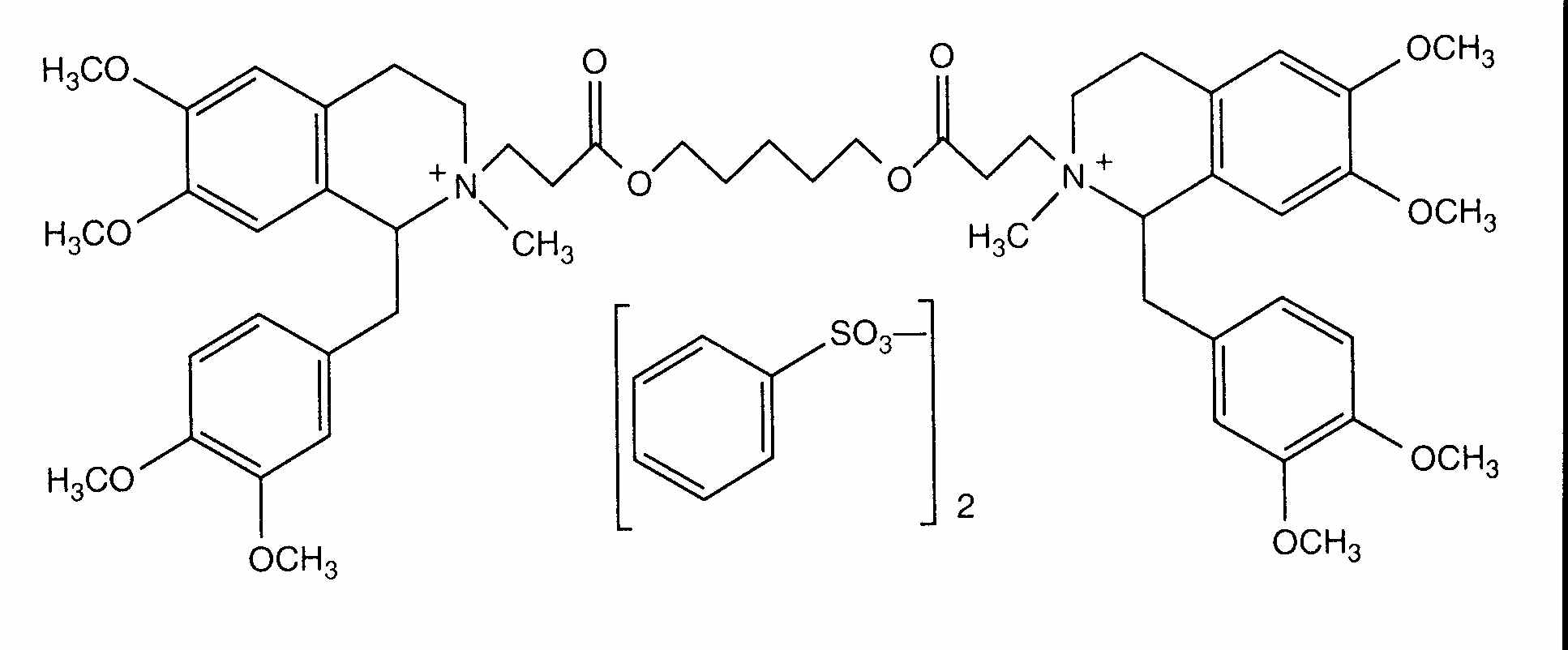
Kurarelignende middel   Atracurium besylate  
Injeksjon
Oppløsningsstabilitet Stabilitet i blandinger Faktorer som påvirker stabiliteten Kompatibilitet Administrasjonsmåte Referanser pdf
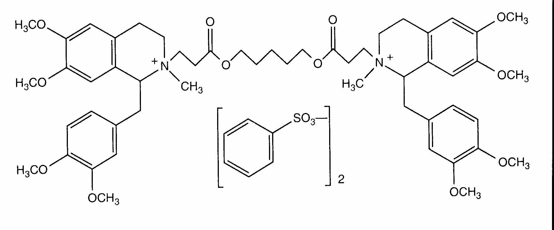
   Kjemisk struktur  

Handelsnavn   Handelsnavn     

Handelsnavn er veiledende og sammensetning av hjelpestoffer kan være forskjellig avhengig av land og produsent

Abbocurium Polen
Acurmil Italia
Ancour Iran
Anecur Iran
Atacur Saudi-Arabia
Atrabesylate Egypt
Atracurio Argentina, Brasil, Spania
Atracurio besilato Chile, Italia, Peru, Venezuela
Atracurium Argentina, De forente arabiske emirater, Egypt, Iran, Italia, Malaysia, Saudi-Arabia, Storbritannia, Sverige, Tyskland, Østerrike
Atracurium besilat Østerrike
Atracurium besilate Australia, Canada, De forente arabiske emirater, Egypt, Iran, New Zealand, Saudi-Arabia, USA
Atralex Malaysia
Atrasyl Tyrkia
Besilato Atracurio Chile, Portugal, Spania
Faulcurium Egypt, Portugal
Gelolagar Argentina
Laurak Spania
Neucurium Tyrkia
Notrixum Tyrkia
Relactrac Colombia
Relatrac Mexico
Tracrium Belgia, Chile, Colombia, De forente arabiske emirater, Ecuador, Egypt, Frankrike, Hellas, Iran, Irland, Italia, Luxembourg, Malaysia, Marokko, Mexico, Nederland, New Zealand, Polen, Portugal, Romania, Saudi-Arabia, Slovenia, Spania, Storbritannia, Sveits, Tyrkia, Tyskland, Ungarn, USA, Østerrike
Tracumek Peru
Tracurix Argentina
Tracuron Argentina

Faktorer som påvirker stabiliteten   Injeksjon   Faktorer som påvirker stabiliteten : Atracurium besylate        
Referanser
Temperatur Økning Induserer Degradasjon 657
pH pH >7 Induserer Degradasjon 3629

  Mentions Légales