Τελευταία ενημέρωση :
27/04/2026
Υπογλυκοζαιμικό   Sitagliptine phosphate  
Πόσιμο διάλυμα
Σταθερότητα και συμβατότητα των φαρμάκων Σταθερότητα σε μίγματα Παράγοντας που επηρεάζει τη σταθερότητα Συμβατότητες Βιβλιογραφία pdf
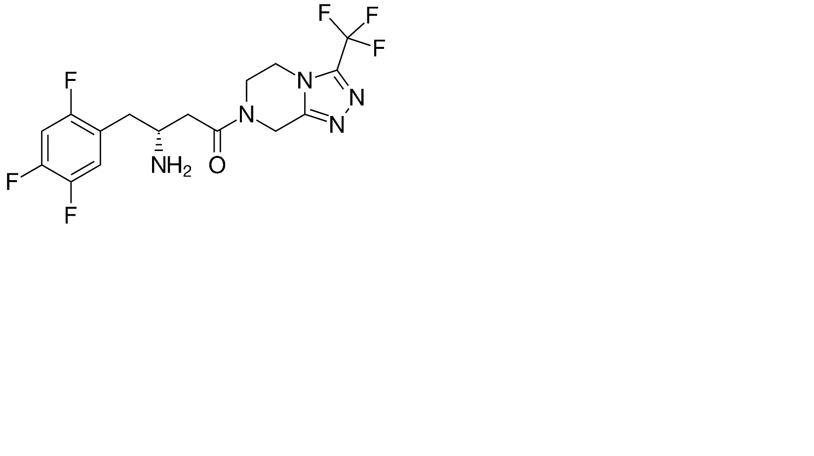
   χημική δομή  

Πόσιμο διάλυμα
Σταθερότητα και συμβατότητα των φαρμάκων   Πόσιμο διάλυμα   Σταθερότητα και συμβατότητα των φαρμάκων : Sitagliptine phosphate     
Υποδοχέας Origine Έκδοχο Θερμοκρασία Αποθήκευση Διάρκεια σταθερότητας Βιβλιογραφία
Πλαστικό μπουκάλι Σκόνη 1 g
® = ?
Σορβιτόλη 21,9 mL
Μαννιτόλη 2,2 g
Γεύση φράουλα 625 mg
Κεκαθαρμένο νερό >> 100 mL
22-28°C Απροσδιόριστο
40 Ημέρα
4679
Πλαστικό μπουκάλι Σκόνη 1 g
® = ?
Σορβιτόλη 21,9 mL
Μαννιτόλη 2,2 g
Γεύση φράουλα 625 mg
Κεκαθαρμένο νερό >> 100 mL
40°C Απροσδιόριστο
40 Ημέρα
4679

  Mentions Légales