Posledná aktualizácia :
27/04/2026
látka znižujúca hladinu glukózy   Sitagliptine phosphate  
Perorálny roztok
Stabilita farmaceutických prípravkov Stabilita v zmesiach Faktory ovplyvňujúce stabilitu Kompatibility Odkazy na literatúru PDF
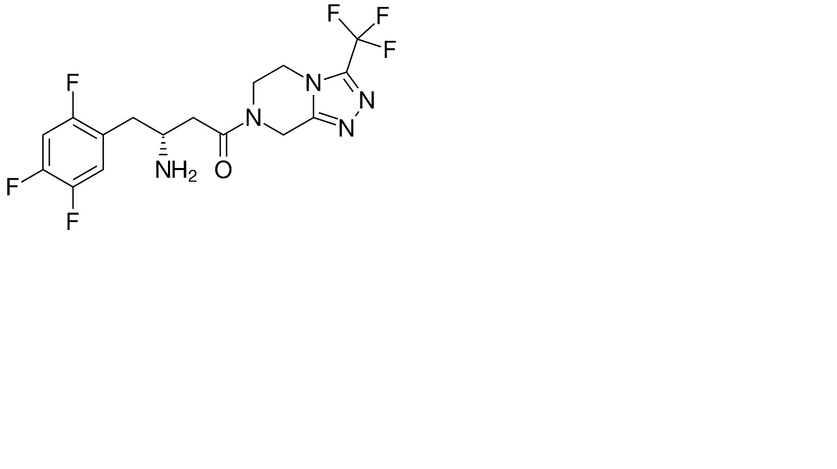
   Chemický vzorec  

Perorálny roztok
Stabilita farmaceutických prípravkov   Perorálny roztok   Stabilita farmaceutických prípravkov : Sitagliptine phosphate     
obal Pôvod Pomocná látka teplota uchovávanie Trvanie stability odkazy na lieteratúru
Plastová fľaša Prášok 1 g
® = ?
Sorbitol 21,9 mL
Manitol 2,2 g
Jahodová príchuť 625 mg
Čistená voda >> 100 mL
22-28°C nešpecifikované
40 dní
4679
Plastová fľaša Prášok 1 g
® = ?
Sorbitol 21,9 mL
Manitol 2,2 g
Jahodová príchuť 625 mg
Čistená voda >> 100 mL
40°C nešpecifikované
40 dní
4679

  Mentions Légales