zadnja posodobitev :
27/04/2026
Učinkovina za zniževanje glukoze   Sitagliptine phosphate  
Peroralna raztopina
Stabilnost farmacevtskih preparatov Stabilnost mešanice Faktorji, ki vplivajo na stabilnost Kompatibilnost Viri pdf
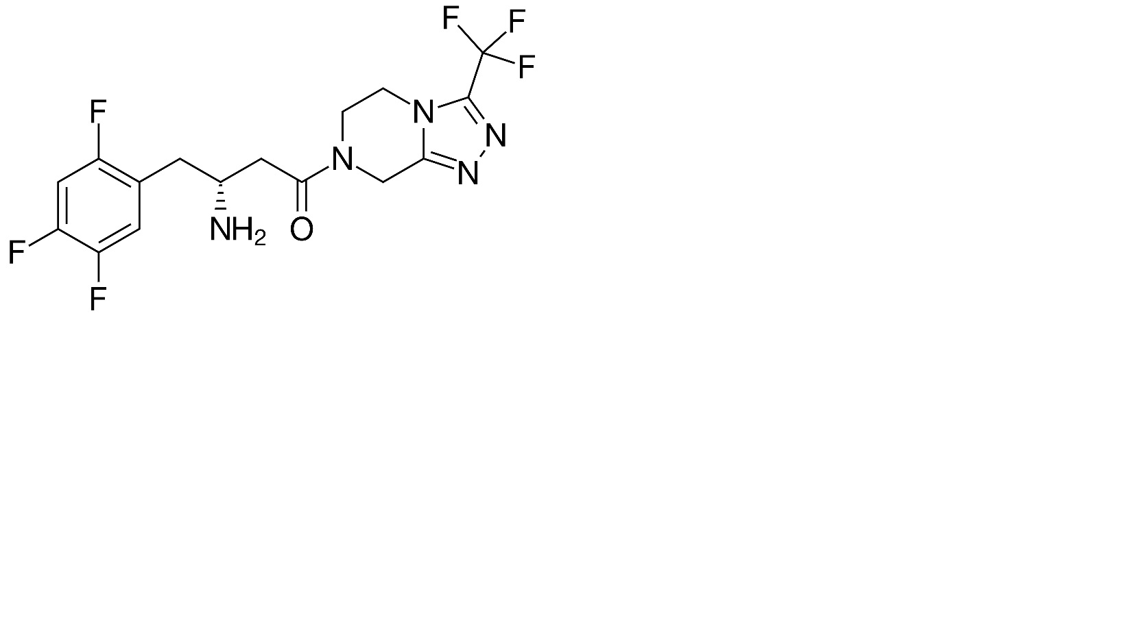
   Kemična formula  

Peroralna raztopina
Stabilnost farmacevtskih preparatov   Peroralna raztopina   Stabilnost farmacevtskih preparatov : Sitagliptine phosphate     
Vsebnik Origine Ekscipient Temperatura Shranjevanje Trajanje stabilnosti Viri
Plastenka Prašek 1 g
® = ?
Sorbitol 21,9 mL
Manitol 2,2 g
Okus jagoda 625 mg
Prečiščena voda >> 100 mL
22-28°C Nedoločeno
40 Dan
4679
Plastenka Prašek 1 g
® = ?
Sorbitol 21,9 mL
Manitol 2,2 g
Okus jagoda 625 mg
Prečiščena voda >> 100 mL
40°C Nedoločeno
40 Dan
4679

  Mentions Légales