Última actualização :
27/04/2026
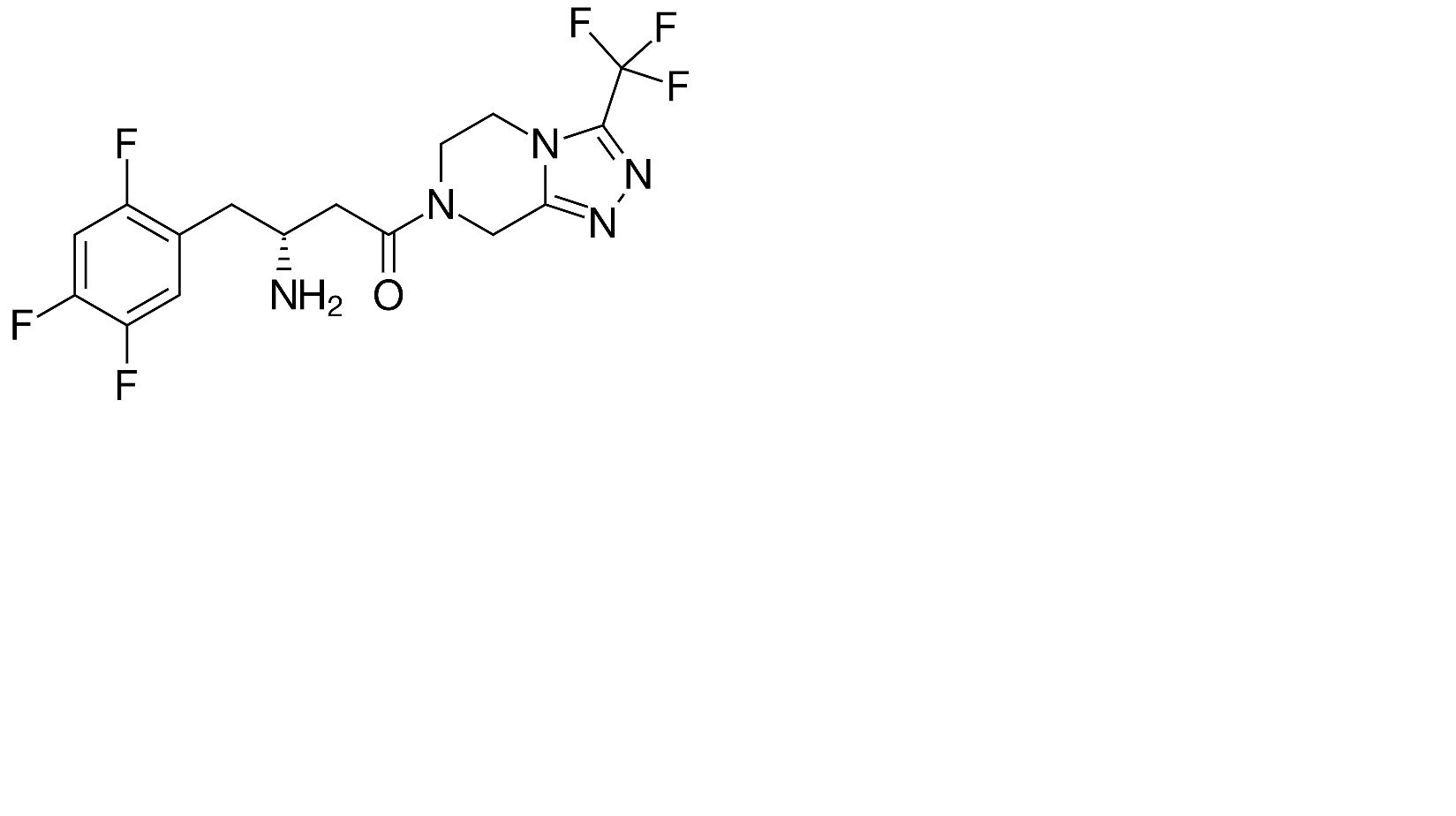
Hipoglicemiante   Sitagliptine phosphate  
Solução Oral
Estabilidade de preparações farmacêuticas Estabilidade em misturas Factores que afectam a sua estabilidade Compatibilidade Bibliografía pdf
   estrutura química  

Solução Oral
Estabilidade de preparações farmacêuticas   Solução Oral   Estabilidade de preparações farmacêuticas : Sitagliptine phosphate     
Embalagem Origine excipiente temperatura conservação Duração da estabilidade Bibliografia
frasco de plástico pó 1 g
® = ?
sorbitol 21,9 mL
manitol 2,2 g
sabor morango 625 mg
A água purificada >> 100 mL
22-28°C no especificado
40 dia
4679
frasco de plástico pó 1 g
® = ?
sorbitol 21,9 mL
manitol 2,2 g
sabor morango 625 mg
A água purificada >> 100 mL
40°C no especificado
40 dia
4679

  Mentions Légales