Останнє оновлення :
18/03/2026
Infostab
Список препаратів
Зведені списки
Пошук сумісності
Таблиця сумісності Y-site
Список літератури
Дослідницькі групи
valistab
Плакати
Посилання
Спонсори
Автори
Посібник користувача
Newsletter
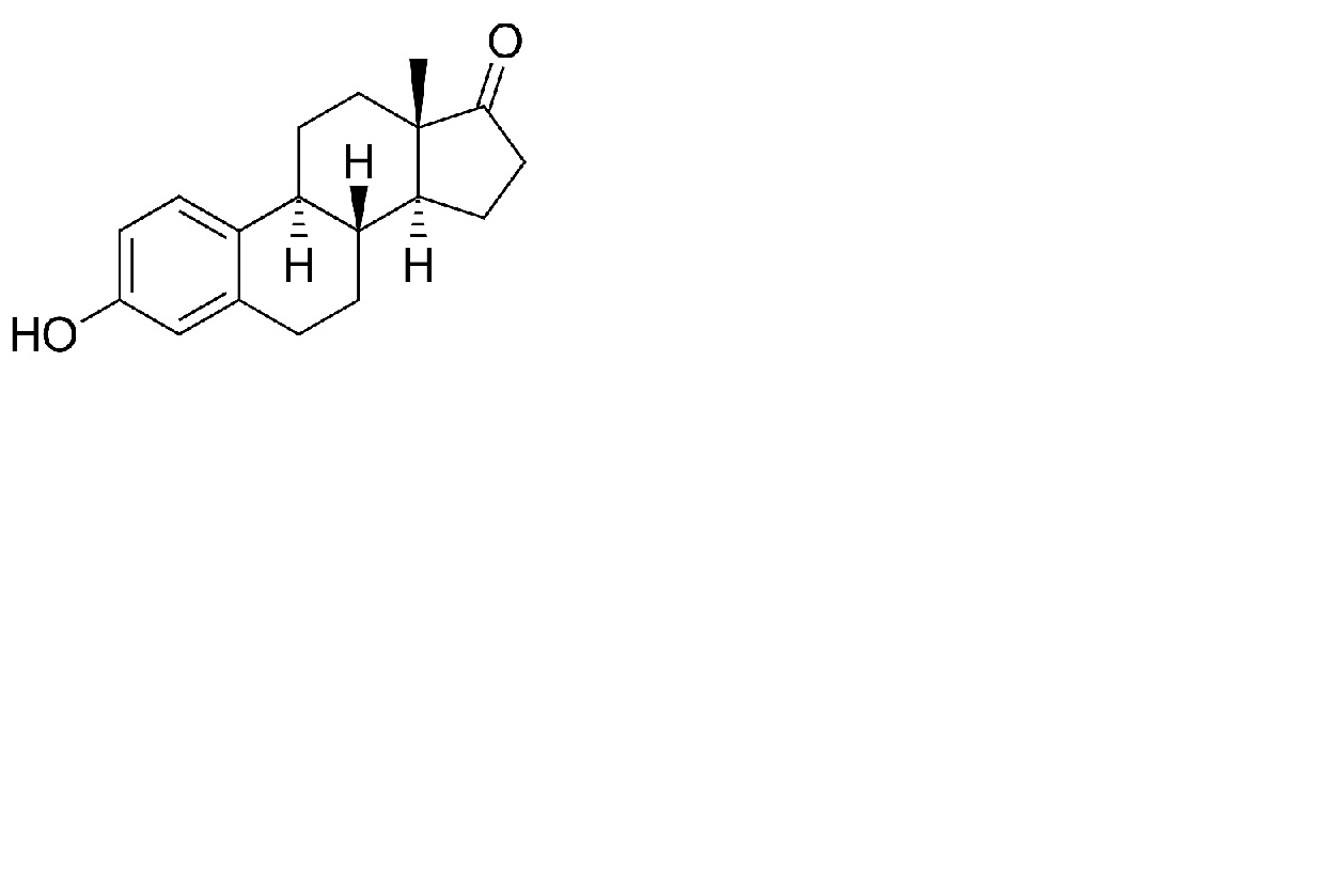
Estrone
Хімічна структура
Стабільність фармацевтичних препаратів : Estrone
100 mg
® = ?
Етоксидигліколь
5 g
Phytobase® (Fagron)
>>100 g
15-25°C
180
4577
1 g
® = ?
Етоксидигліколь
5 g
Phytobase® (Fagron)
>>100 g
15-25°C
180
4577
Mentions Légales