最新更新 :
05/12/2025
Infostab
药品清单
简要表
搜索兼容性
Y 站点兼容性表
引用文献
研究小組
valistab
海报
鏈接
贊助商
作者
使用指南
时讯
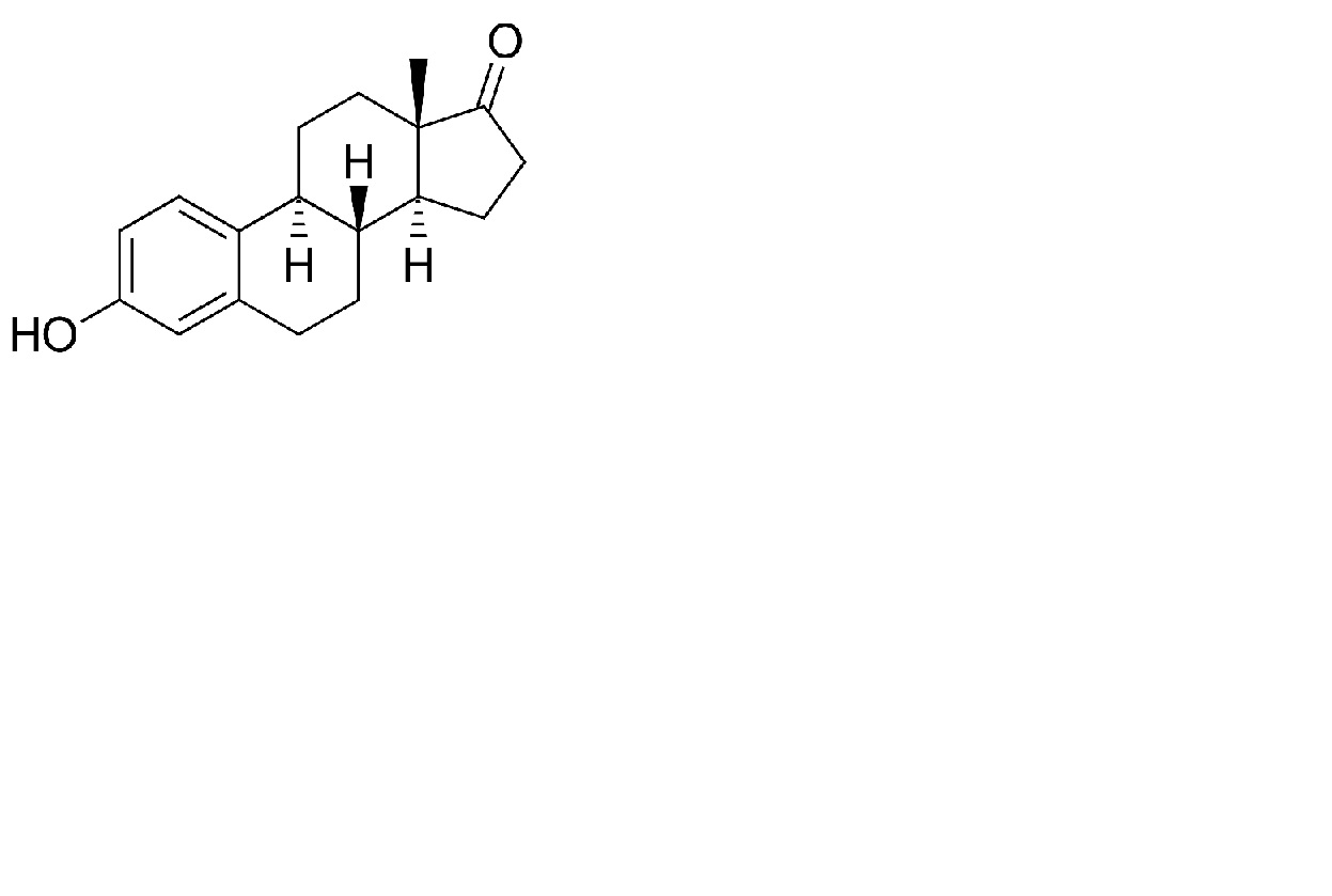
Estrone
化学式
制剂的稳定性 : Estrone
100 mg
® = ?
乙氧基
5 g
Phytobase® (Fagron)
>>100 g
15-25°C
180
4577
1 g
® = ?
乙氧基
5 g
Phytobase® (Fagron)
>>100 g
15-25°C
180
4577
Mentions Légales