Dernière mise à jour :
18/03/2026
Infostab
Liste des molécules
Listes récapitulatives
Recherches de compatibilités
Tableau de compatibilités en Y
Bibliographie
Equipes de recherche
Valistab
Posters
Liens infostab
Partenaires
Auteurs
Manuel d'utilisation
Lettre d'actualité
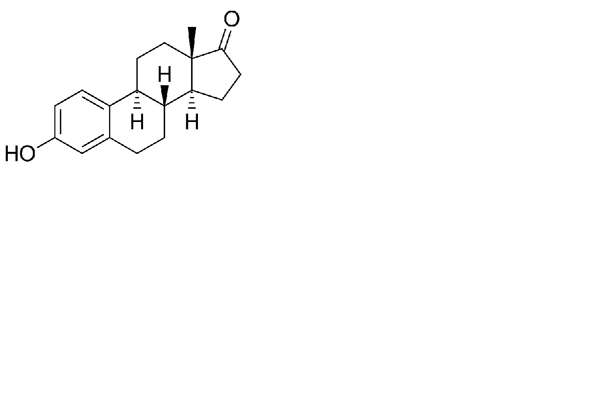
Estrone
Structure chimique
Stabilité des préparations : Estrone
100 mg
® = ?
Ethoxydiglycol
5 g
Phytobase® (Fagron)
>>100 g
15-25°C
180
4577
1 g
® = ?
Ethoxydiglycol
5 g
Phytobase® (Fagron)
>>100 g
15-25°C
180
4577
Mentions Légales