Poslední aktualizace :
05/12/2025
Infostab
Junginių sąrašas
Sąrašai
Ieškoti suderinamumo
Y formos suderinamumo lentelė
Bibliografija
Mokslinių tyrimų Komandos
valistab
plakatas
Jungtys
rėmėjai
Autorius
Naudojimo instrukcija
Biuletenį
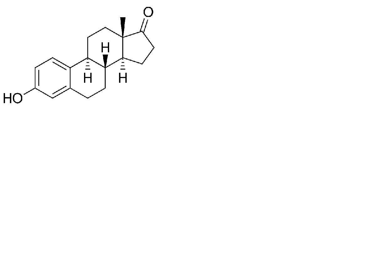
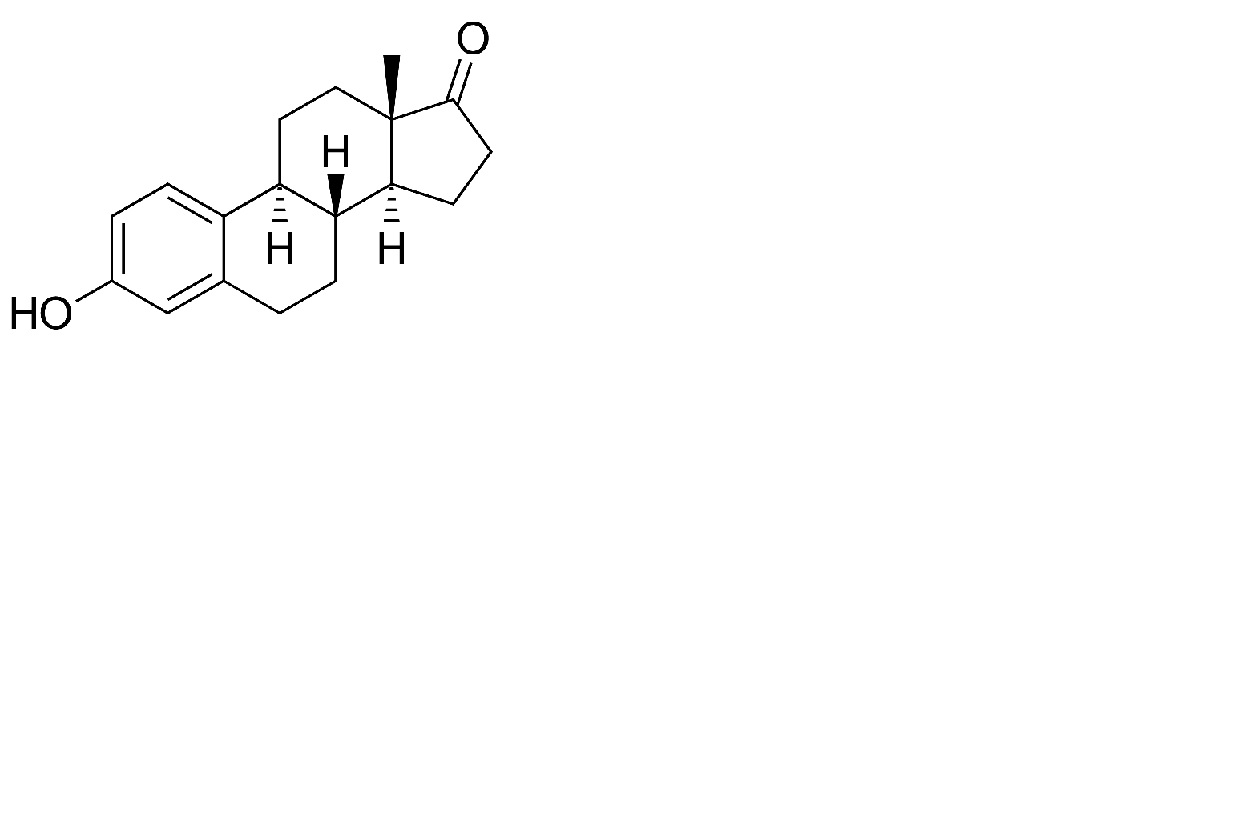
Estrone
Cheminė sandara
Stabilumas farmacinių preparatų : Estrone
100 mg
® = ?
Etoksidiglikolis
5 g
Phytobase® (Fagron)
>>100 g
15-25°C
180
4577
1 g
® = ?
Etoksidiglikolis
5 g
Phytobase® (Fagron)
>>100 g
15-25°C
180
4577
Mentions Légales