Ultimele actualizari :
18/03/2026
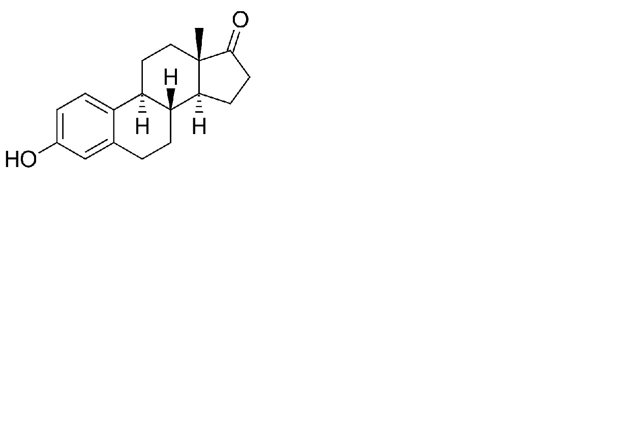
Hormone   Estrone  
Unguente
Stabilitatea preparatelor farmaceutice Stabilitatea in amestec Factorii care influenteaza stabilitatea Compatibilitate Bibliografie pdf
   Formula chimica  

Unguente
Stabilitatea preparatelor farmaceutice   Unguente   Stabilitatea preparatelor farmaceutice : Estrone     
Continut Origine Excipient Temperatura Conservare Durata stabilității Bibiografie
Tub pentru unguent (in aluminiu) praf 100 mg
® = ?
Etoxidiglicol 5 g
Phytobase® (Fagron) >>100 g
15-25°C Ferit de lumina
180 Ziua
4577

Tub pentru unguent (in aluminiu) praf 1 g
® = ?
Etoxidiglicol 5 g
Phytobase® (Fagron) >>100 g
15-25°C Ferit de lumina
180 Ziua
4577


  Mentions Légales