Viimeisin päivitys :
05/12/2025
Hormoneja   Estrone  
Salvat
Vakaus lääkevalmisteen Stabilius seoksissa Tekijät, jotka vaikuttavat stabiliuteen Yhteensopivuus Viitteet pdf
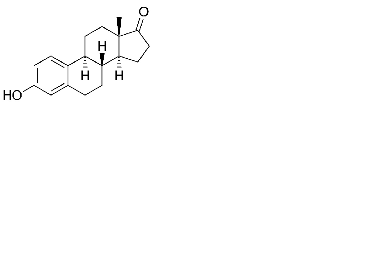
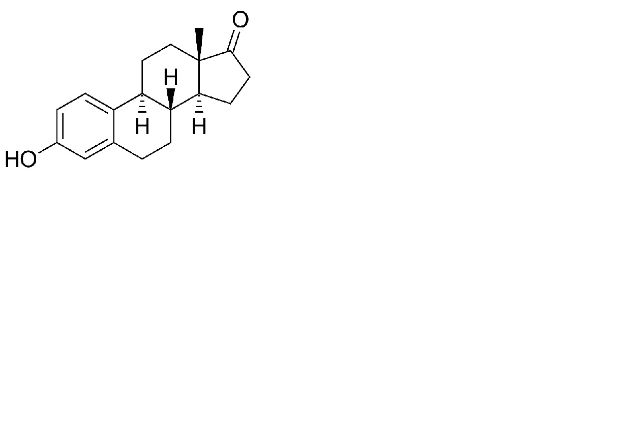
   Kemiallinen rakenne  

Salvat
Vakaus lääkevalmisteen   Salvat   Vakaus lääkevalmisteen : Estrone     
Astia Origine Apuaine Lämpötila Säilytys Vakauden kesto Viitteet
Salvaputkilo (alumiini) Jauhe 100 mg
® = ?
Etoksidiglykoli 5 g
Phytobase® (Fagron) >>100 g
15-25°C Suojattava valolta
180 Päivä
4577

Salvaputkilo (alumiini) Jauhe 1 g
® = ?
Etoksidiglykoli 5 g
Phytobase® (Fagron) >>100 g
15-25°C Suojattava valolta
180 Päivä
4577


  Mentions Légales