Última actualización :
18/03/2026
Hormona   Estrone  
Preparaciones tópicas
La estabilidad de las preparaciones farmacéuticas Estabilidad en mezcla Factores que influyen sobre la estabilidad Compatibilidades Bibliografía pdf
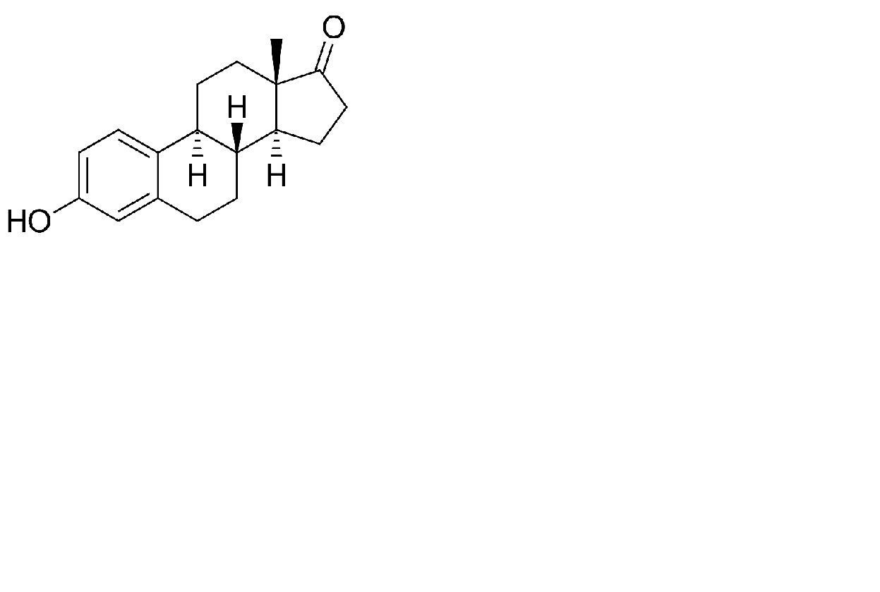
   Estructura química  

Preparaciones tópicas
La estabilidad de las preparaciones farmacéuticas   Preparaciones tópicas   La estabilidad de las preparaciones farmacéuticas : Estrone     
Envase Origine Excipiente Temperatura Conservación Duración de la estabilidad Bibliografía
Tubo de aluminio para formulaciones tópicas Polvo 100 mg
® = ?
Etoxidiglicol 5 g
Phytobase® (Fagron) >>100 g
15-25°C A cubierto de la luz
180 Día
4577

Tubo de aluminio para formulaciones tópicas Polvo 1 g
® = ?
Etoxidiglicol 5 g
Phytobase® (Fagron) >>100 g
15-25°C A cubierto de la luz
180 Día
4577


  Mentions Légales