Utolsó frissítés :
18/03/2026
Hormonnal   Estrone  
kenőcs
Stabilitása gyógyszerészeti készítmények A keverékek stabilitása Stabilitást befolyásoló tényezők Kompatibilitás Irodalom pdf
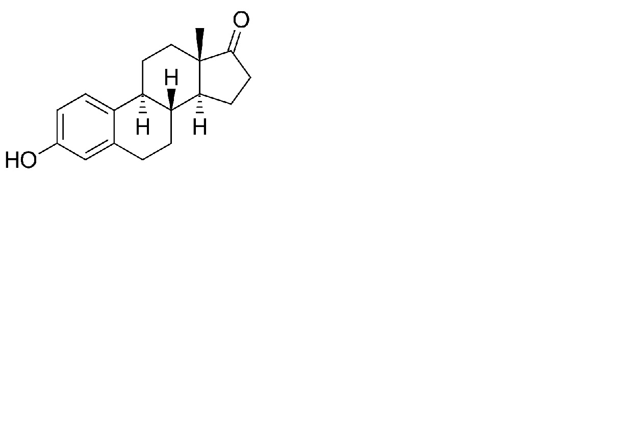
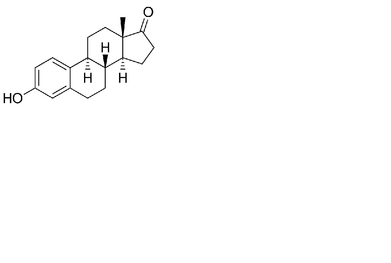
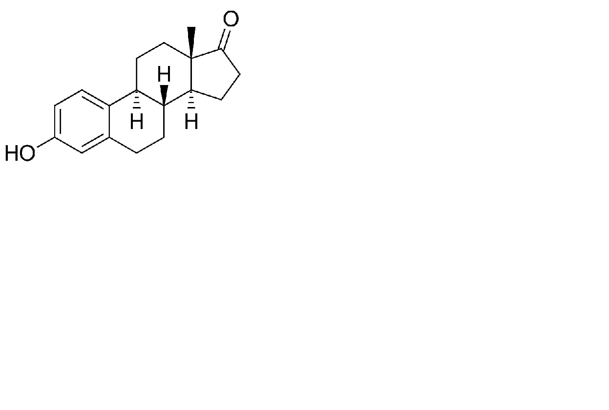
   Kémiai szerkezet   

kenőcs
Kompatibilitás   kenőcs   Kompatibilitás : Estrone              
Hiányzó adat

  Mentions Légales