viimane versioon :
18/03/2026
Hormoonasendusravi   Estrone  
salv
Stabiilsust ravimpreparaadid Stabiilsust mõjutavad tegurid stabiilsust mõjutavad faktorid Sobimatus Viited pdf
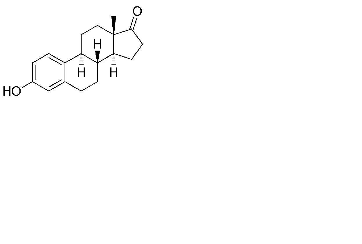
   keemiline struktuur  

salv
Sobimatus   salv   Sobimatus : Estrone              
andmed puuduvad

  Mentions Légales