Последно актуализиране :
18/03/2026
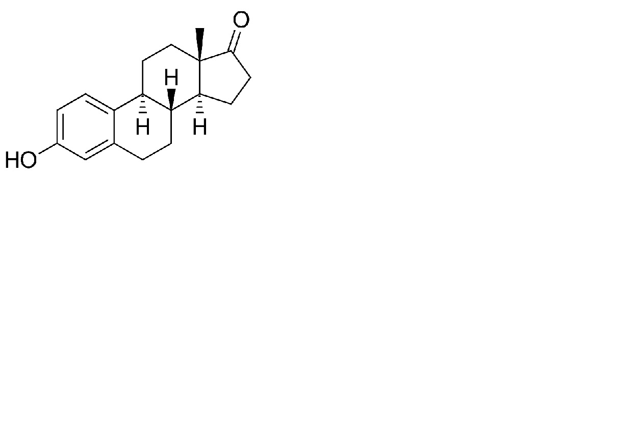
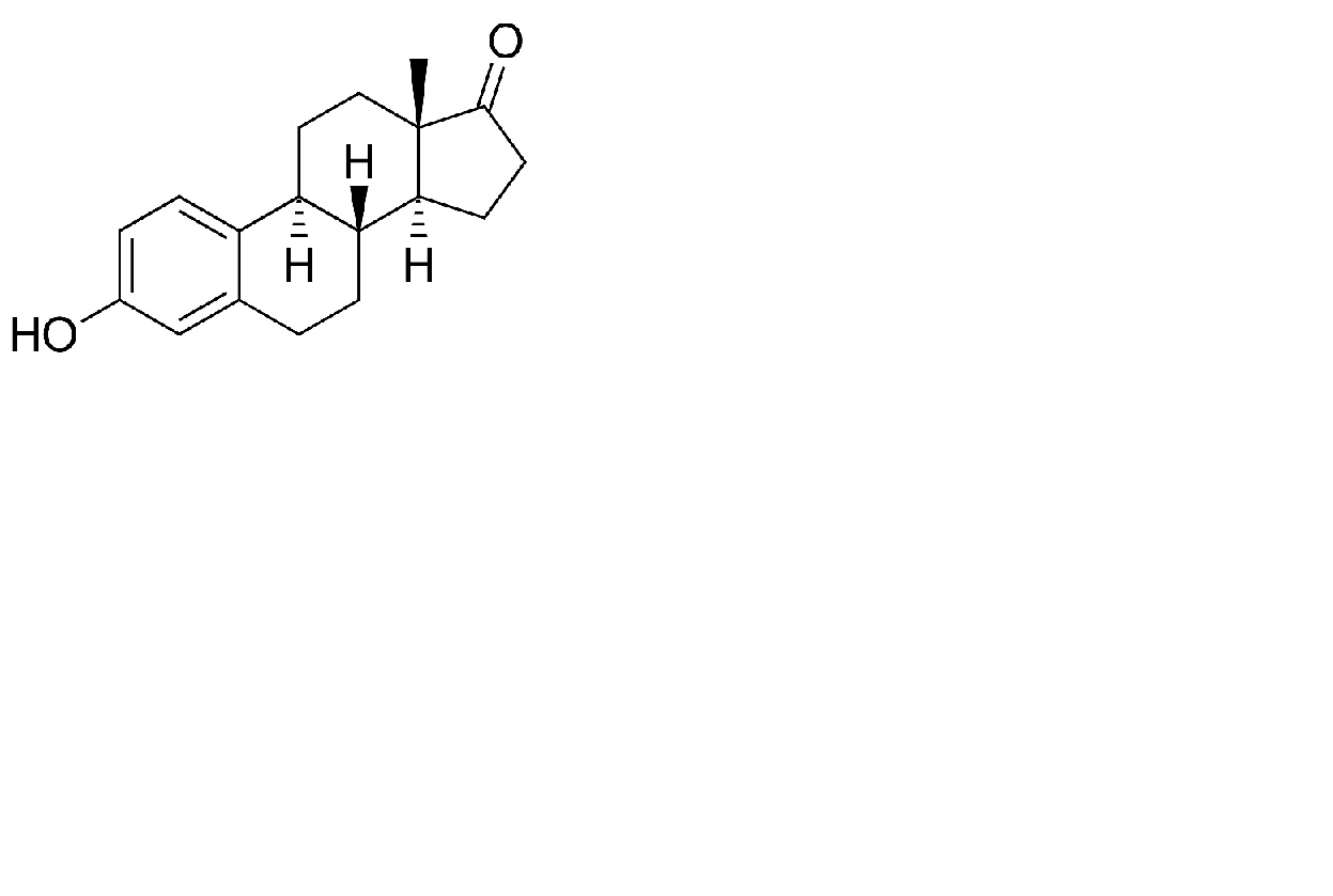
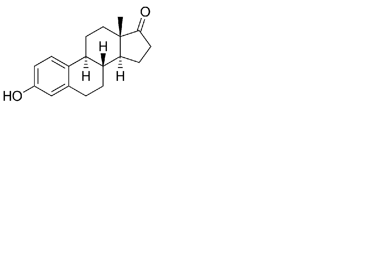
Хормон   Estrone  
Унгвент/Унгвенти
Стабилност на лекарствени препарати Стабилност на смеси Фактори, повлияващи стабилността Съвместимост Библиография Pdf
   Химична структура  

Унгвент/Унгвенти
Съвместимост   Унгвент/Унгвенти   Съвместимост : Estrone              
Няма данни

  Mentions Légales