Τελευταία ενημέρωση :
18/03/2026
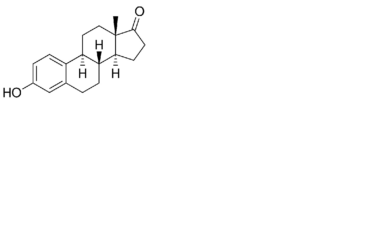
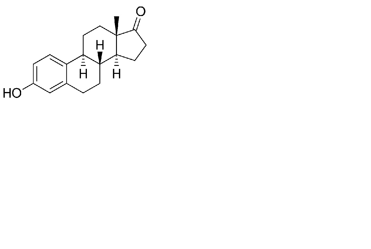
Ορμόνη   Estrone  
Αλοιφές
Σταθερότητα και συμβατότητα των φαρμάκων Σταθερότητα σε μίγματα Παράγοντας που επηρεάζει τη σταθερότητα Συμβατότητες Βιβλιογραφία pdf
   χημική δομή  

Αλοιφές
Συμβατότητες    Αλοιφές   Συμβατότητες : Estrone              
Δεν υπάρχουν πληροφορίες

  Mentions Légales