Last update :
18/03/2026
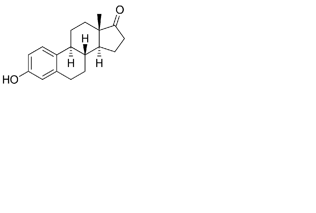
Hormone   Estrone  
Ointments
Stability of pharmaceutical preparations Stability of mixtures Factors which affect stability Compatibility References pdf
   Chemical structure  

Ointments
Compatibility   Ointments   Compatibility : Estrone              
No data

  Mentions Légales