آخر تحديث :
18/03/2026
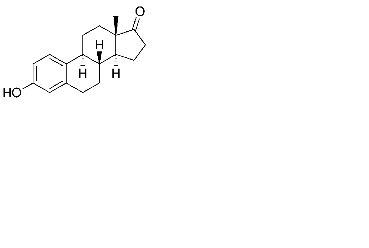
هرمون   Estrone  
المراهم
استقرار المستحضرات الصيدلانية استقرار مخاليط العوامل التي تؤثر على الاستقرار التوافق مراجع pdf
   التركيب الكيميائي  

المراهم
التوافق   المراهم   التوافق : Estrone              
لا توجد بيانات

  Mentions Légales