Letztes “update” :
18/03/2026
Infostab
Molekülverzeichnis
Zusammenfassende Listen
Suche nach kompatibilitäten
Y-Kompatibilitätstabelle
Literaturverzeichnis
Forschungsgruppen
valistab
Poster
Links
Sponsoren
Autoren
Hinweise fûr den Benutzer
Newsletter
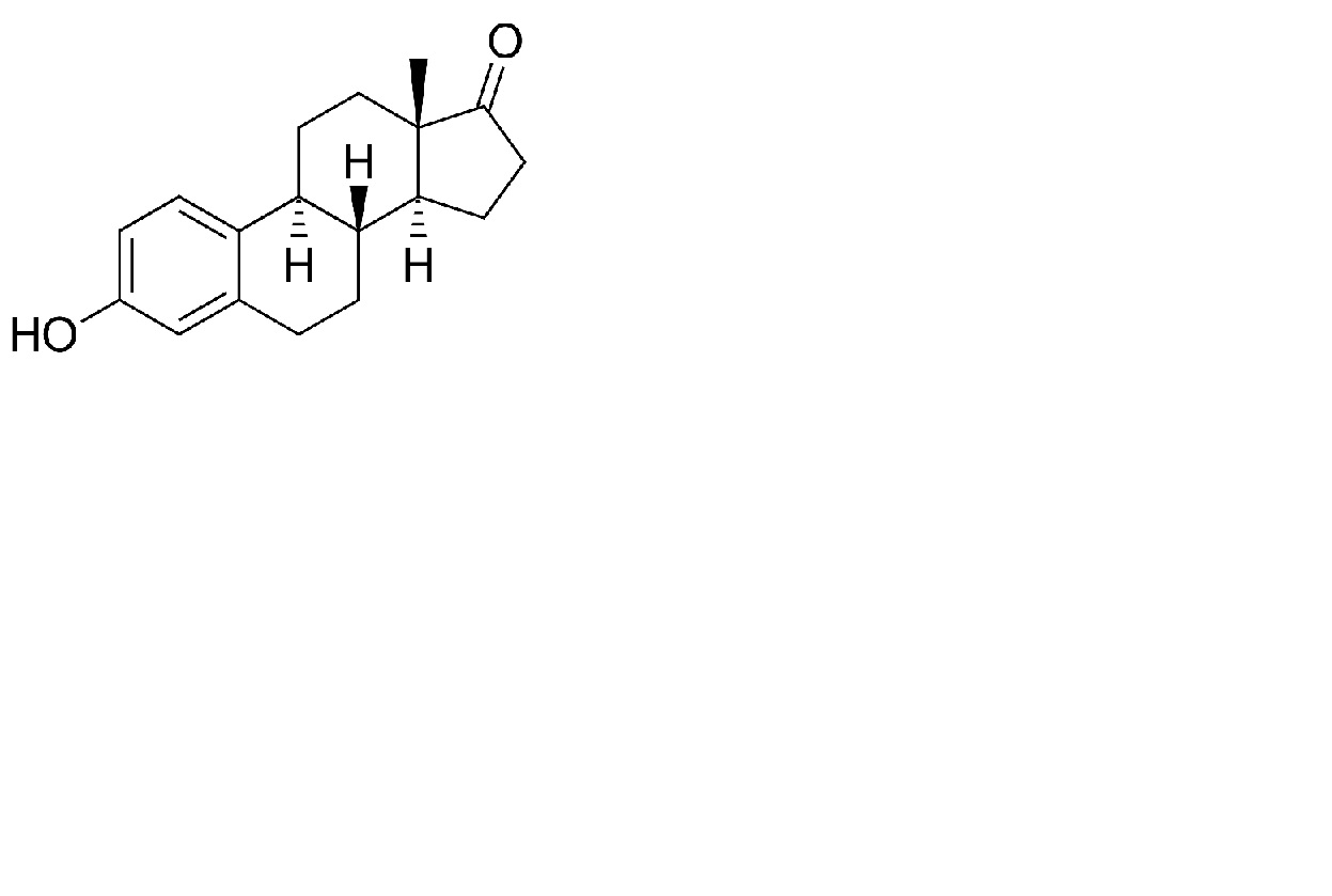
Estrone
Chemische Struktur
Kompatibilitäten : Estrone
Keine Daten
Mentions Légales