Senaste uppdateringen :
18/03/2026
cancerläkemedel   Pemetrexed diarginine  
injektion
Lösningars stabilitet Stabilitet i blandningar Faktorer som påverkar stabiliteten Kompatibilitet Administreringssätt Hänvisningar pdf
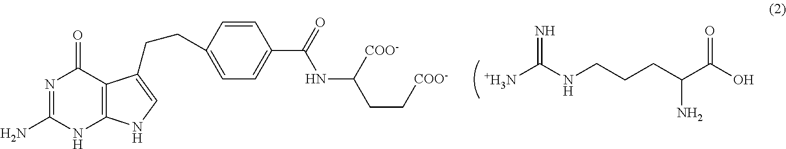
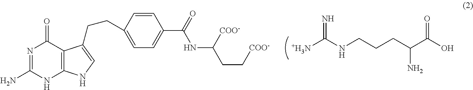
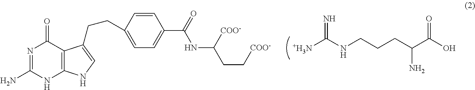
   Molekylstruktur  

Varunamn   Varunamn     

Angivna handelsnamn på läkemedel är enbart vägledande då formulering inklusive hjälpämnen kan variera mellan länder och tillverkare

Pemetrexed Mylan Frankrike
Pemetrexed Ohre Pharma Frankrike
Pemetrexed Zentiva Frankrike
Lösningars stabilitet   injektion   Lösningars stabilitet : Pemetrexed diarginine     
Behållare Lösningsmedel Koncentration Temperatur Förvaring Stabilitets varaktighet Hänvisningar
Glas Ingen 25 mg/ml 2-8°C Skyddas från ljus
14 Dag
4546
Evidensnivå A

Glas Ingen 25 mg/ml 2-8°C Med eller utan ljus
7 Dag
4702
Evidensnivå A+

Glas Ingen 25 mg/ml 22-25°C Ljus
1 Dag
4546
Evidensnivå A

delvis använda injektionsflaskor Ingen 25 mg/ml 2-8°C Skyddas från ljus
7 Dag
4702
Evidensnivå A+

delvis använda injektionsflaskor Ingen 25 mg/ml 25°C Ljus
4 Dag
4702
Evidensnivå A+

Polyolefin Natriumklorid 0,9 % 12 mg/ml 2-8°C Skyddas från ljus
4 Dag
4546
Evidensnivå A

Polyolefin Natriumklorid 0,9 % 12 mg/ml 22-25°C Ljus
1 Dag
4546
Evidensnivå A

Polyolefin Natriumklorid 0,9 % 3 & 12 mg/ml 2-8°C Med eller utan ljus
28 Dag
4702
Evidensnivå A+

Polyolefin Natriumklorid 0,9 % 3 & 12 mg/ml 20-25°C Med eller utan ljus
7 Dag
4702
Evidensnivå A+

Polyolefin Natriumklorid 0,9 % 4,9 mg/ml 2-8°C Skyddas från ljus
4 Dag
4546
Evidensnivå A

Polyolefin Natriumklorid 0,9 % 4,9 mg/ml 22-25°C Ljus
1 Dag
4546
Evidensnivå A

Polyolefin Glukos 5 % 12 mg/ml 2-8°C Skyddas från ljus
4 Dag
4546
Evidensnivå A

Polyolefin Glukos 5 % 12 mg/ml 22-25°C Ljus
1 Dag
4546
Evidensnivå A

Polyolefin Glukos 5 % 3 & 12 mg/ml 2-8°C Med eller utan ljus
28 Dag
4702
Evidensnivå A+

Polyolefin Glukos 5 % 3 & 12 mg/ml 20-25°C Med eller utan ljus
7 Dag
4702
Evidensnivå A+

Polyolefin Glukos 5 % 4,9 mg/ml 2-8°C Skyddas från ljus
4 Dag
4546
Evidensnivå A

Polyolefin Glukos 5 % 4,9 mg/ml 22-25°C Ljus
1 Dag
4546
Evidensnivå A


  Mentions Légales