Dernière mise à jour :
18/03/2026
Anticancéreux   Pemetrexed diarginine  
injectable
Stabilité des solutions Stabilité en mélange Facteur influençant la stabilité Compatibilités Voie d’administration Bibliographie pdf
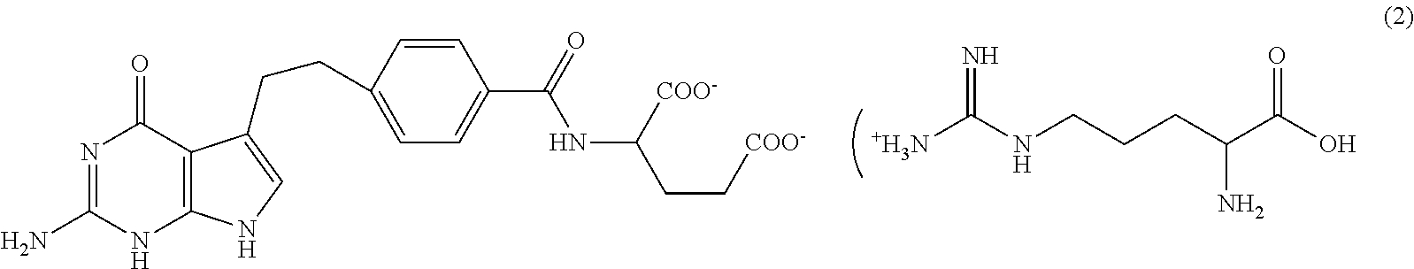
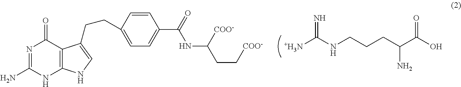
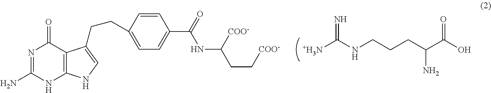
   Structure chimique  

Noms commerciaux   Noms commerciaux     

Les noms commerciaux sont donnés à titre indicatif et la composition en excipients peut être différente selon les pays et selon les laboratoires

Pemetrexed Mylan France
Pemetrexed Ohre Pharma France
Pemetrexed Zentiva France
Stabilité des solutions   injectable   Stabilité des solutions : Pemetrexed diarginine     
Contenant Solvant Concentration Température Conservation Durée de stabilité Bibliographie
Verre Aucun 25 mg/ml 2-8°C A l’abri de la lumière
14 Jour
4546
Niveau de preuve A

Verre Aucun 25 mg/ml 2-8°C Avec ou sans lumière
7 Jour
4702
Niveau de preuve A +

Verre Aucun 25 mg/ml 22-25°C Lumière
1 Jour
4546
Niveau de preuve A

Flacon entamé Aucun 25 mg/ml 2-8°C A l’abri de la lumière
7 Jour
4702
Niveau de preuve A +

Flacon entamé Aucun 25 mg/ml 25°C Lumière
4 Jour
4702
Niveau de preuve A +

Polyolefine Chlorure de sodium 0,9% 12 mg/ml 2-8°C A l’abri de la lumière
4 Jour
4546
Niveau de preuve A

Polyolefine Chlorure de sodium 0,9% 12 mg/ml 22-25°C Lumière
1 Jour
4546
Niveau de preuve A

Polyolefine Chlorure de sodium 0,9% 3 & 12 mg/ml 2-8°C Avec ou sans lumière
28 Jour
4702
Niveau de preuve A +

Polyolefine Chlorure de sodium 0,9% 3 & 12 mg/ml 20-25°C Avec ou sans lumière
7 Jour
4702
Niveau de preuve A +

Polyolefine Chlorure de sodium 0,9% 4,9 mg/ml 2-8°C A l’abri de la lumière
4 Jour
4546
Niveau de preuve A

Polyolefine Chlorure de sodium 0,9% 4,9 mg/ml 22-25°C Lumière
1 Jour
4546
Niveau de preuve A

Polyolefine Glucose 5% 12 mg/ml 2-8°C A l’abri de la lumière
4 Jour
4546
Niveau de preuve A

Polyolefine Glucose 5% 12 mg/ml 22-25°C Lumière
1 Jour
4546
Niveau de preuve A

Polyolefine Glucose 5% 3 & 12 mg/ml 2-8°C Avec ou sans lumière
28 Jour
4702
Niveau de preuve A +

Polyolefine Glucose 5% 3 & 12 mg/ml 20-25°C Avec ou sans lumière
7 Jour
4702
Niveau de preuve A +

Polyolefine Glucose 5% 4,9 mg/ml 2-8°C A l’abri de la lumière
4 Jour
4546
Niveau de preuve A

Polyolefine Glucose 5% 4,9 mg/ml 22-25°C Lumière
1 Jour
4546
Niveau de preuve A


  Mentions Légales