Letztes “update” :
18/03/2026
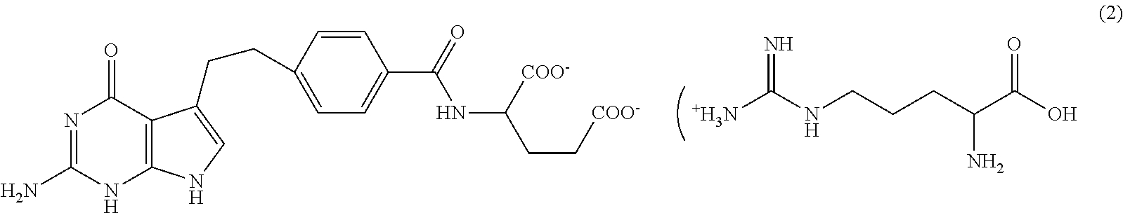
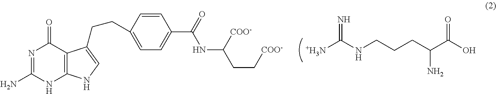
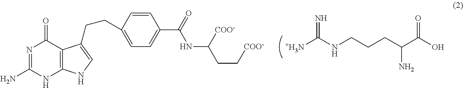
Antikrebsmittel   Pemetrexed diarginine  
Injektion
Stabilität der Lösung Gemengestabilität Stabilitätbeeinflussende Faktoren Kompatibilitäten Applikationsart Literaturverzeichnis pdf
   Chemische Struktur  

Handelsmarke   Handelsmarke     

Handelsnamen sind als beispielhaft anzusehen. Sonstige Bestandteile können je nach Hersteller oder Land verschieden sein

Pemetrexed Mylan Frankreich
Pemetrexed Ohre Pharma Frankreich
Pemetrexed Zentiva Frankreich
Stabilität der Lösung   Injektion   Stabilität der Lösung : Pemetrexed diarginine     
Behälter Lösungsmittel Konzentration Temperatur Konservierung Dauer der Stabilität Literaturverzeichnis
Glas Kein 25 mg/ml 2-8°C Ohne Licht
14 Tag
4546
Evidenzgrad A

Glas Kein 25 mg/ml 2-8°C Mit oder ohne Licht
7 Tag
4702
Evidenzgrad A+

Glas Kein 25 mg/ml 22-25°C Licht
1 Tag
4546
Evidenzgrad A

teilweise gebrauchte Fläschchen Kein 25 mg/ml 2-8°C Ohne Licht
7 Tag
4702
Evidenzgrad A+

teilweise gebrauchte Fläschchen Kein 25 mg/ml 25°C Licht
4 Tag
4702
Evidenzgrad A+

Polyolefin 0,9% Natriumchlorid 12 mg/ml 2-8°C Ohne Licht
4 Tag
4546
Evidenzgrad A

Polyolefin 0,9% Natriumchlorid 12 mg/ml 22-25°C Licht
1 Tag
4546
Evidenzgrad A

Polyolefin 0,9% Natriumchlorid 3 & 12 mg/ml 2-8°C Mit oder ohne Licht
28 Tag
4702
Evidenzgrad A+

Polyolefin 0,9% Natriumchlorid 3 & 12 mg/ml 20-25°C Mit oder ohne Licht
7 Tag
4702
Evidenzgrad A+

Polyolefin 0,9% Natriumchlorid 4,9 mg/ml 2-8°C Ohne Licht
4 Tag
4546
Evidenzgrad A

Polyolefin 0,9% Natriumchlorid 4,9 mg/ml 22-25°C Licht
1 Tag
4546
Evidenzgrad A

Polyolefin 5% Glucose 12 mg/ml 2-8°C Ohne Licht
4 Tag
4546
Evidenzgrad A

Polyolefin 5% Glucose 12 mg/ml 22-25°C Licht
1 Tag
4546
Evidenzgrad A

Polyolefin 5% Glucose 3 & 12 mg/ml 2-8°C Mit oder ohne Licht
28 Tag
4702
Evidenzgrad A+

Polyolefin 5% Glucose 3 & 12 mg/ml 20-25°C Mit oder ohne Licht
7 Tag
4702
Evidenzgrad A+

Polyolefin 5% Glucose 4,9 mg/ml 2-8°C Ohne Licht
4 Tag
4546
Evidenzgrad A

Polyolefin 5% Glucose 4,9 mg/ml 22-25°C Licht
1 Tag
4546
Evidenzgrad A


  Mentions Légales