Pēdējā atjaunošana :
18/03/2026
vēzis narkotiku   Pemetrexed diarginine  
Injekcija
Šķīduma stabilitāte Maisījuma stabilitāte Stabilitāti ietekmējoši faktori Saderība Levadīšanas veids Literatūras saraksts pdf
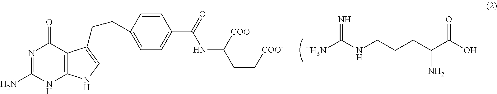
   Ķīmiskā uzbūve   

Oriģinālais nosaukums   Oriģinālais nosaukums     

Tirdzniecības nosaukumi ir apzīmējoši un palīgvielas var atšķirties dažādām valstīm un laboratorijām

Pemetrexed Mylan Francija
Pemetrexed Ohre Pharma Francija
Pemetrexed Zentiva Francija
Šķīduma stabilitāte   Injekcija   Šķīduma stabilitāte : Pemetrexed diarginine     
Iepakojums Šķīdinātājs Koncentrācija Temperatūra Glabāšana Stabilitātes ilgums Literatūras saraksts
Stikls Nekāds 25 mg/ml 2-8°C Aizsargāt no gaismas
14 Diena
4546
Pierādījumu līmenis A

Stikls Nekāds 25 mg/ml 2-8°C Ar vai bez gaismas
7 Diena
4702
Pierādījumu līmenis A+

Stikls Nekāds 25 mg/ml 22-25°C Gaisma
1 Diena
4546
Pierādījumu līmenis A

daļēji lietotas pudeles Nekāds 25 mg/ml 2-8°C Aizsargāt no gaismas
7 Diena
4702
Pierādījumu līmenis A+

daļēji lietotas pudeles Nekāds 25 mg/ml 25°C Gaisma
4 Diena
4702
Pierādījumu līmenis A+

Poliolefīns Nātrija hlorīds 0.9% 12 mg/ml 2-8°C Aizsargāt no gaismas
4 Diena
4546
Pierādījumu līmenis A

Poliolefīns Nātrija hlorīds 0.9% 12 mg/ml 22-25°C Gaisma
1 Diena
4546
Pierādījumu līmenis A

Poliolefīns Nātrija hlorīds 0.9% 3 & 12 mg/ml 2-8°C Ar vai bez gaismas
28 Diena
4702
Pierādījumu līmenis A+

Poliolefīns Nātrija hlorīds 0.9% 3 & 12 mg/ml 20-25°C Ar vai bez gaismas
7 Diena
4702
Pierādījumu līmenis A+

Poliolefīns Nātrija hlorīds 0.9% 4,9 mg/ml 2-8°C Aizsargāt no gaismas
4 Diena
4546
Pierādījumu līmenis A

Poliolefīns Nātrija hlorīds 0.9% 4,9 mg/ml 22-25°C Gaisma
1 Diena
4546
Pierādījumu līmenis A

Poliolefīns 5% glikoze 12 mg/ml 2-8°C Aizsargāt no gaismas
4 Diena
4546
Pierādījumu līmenis A

Poliolefīns 5% glikoze 12 mg/ml 22-25°C Gaisma
1 Diena
4546
Pierādījumu līmenis A

Poliolefīns 5% glikoze 3 & 12 mg/ml 2-8°C Ar vai bez gaismas
28 Diena
4702
Pierādījumu līmenis A+

Poliolefīns 5% glikoze 3 & 12 mg/ml 20-25°C Ar vai bez gaismas
7 Diena
4702
Pierādījumu līmenis A+

Poliolefīns 5% glikoze 4,9 mg/ml 2-8°C Aizsargāt no gaismas
4 Diena
4546
Pierādījumu līmenis A

Poliolefīns 5% glikoze 4,9 mg/ml 22-25°C Gaisma
1 Diena
4546
Pierādījumu līmenis A


  Mentions Légales