viimane versioon :
18/03/2026
vähiravimite   Pemetrexed diarginine  
Süsteravim
Stabiilsus lahustes Stabiilsust mõjutavad tegurid stabiilsust mõjutavad faktorid Sobimatus Manustamis viis Viited pdf
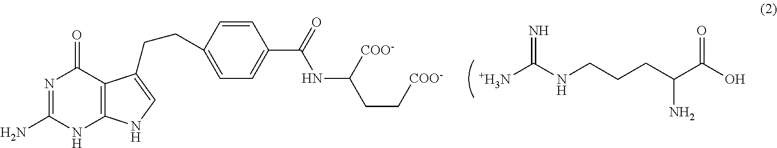
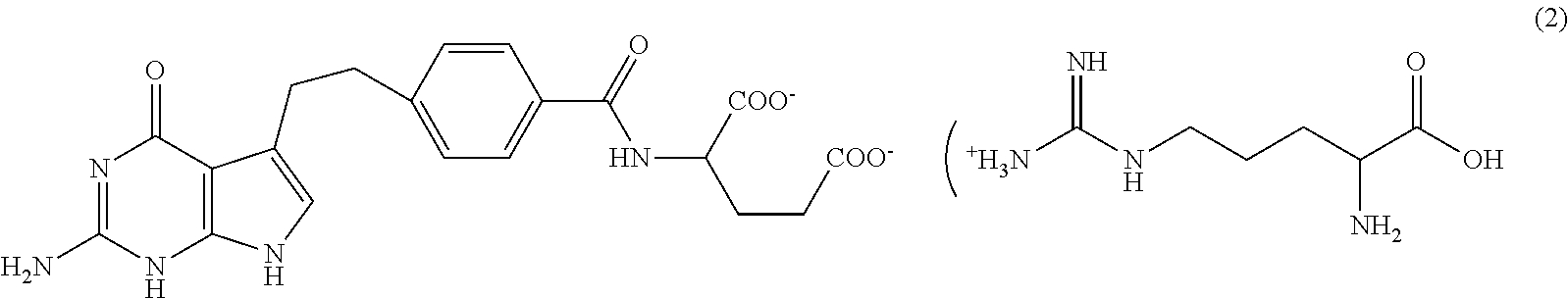
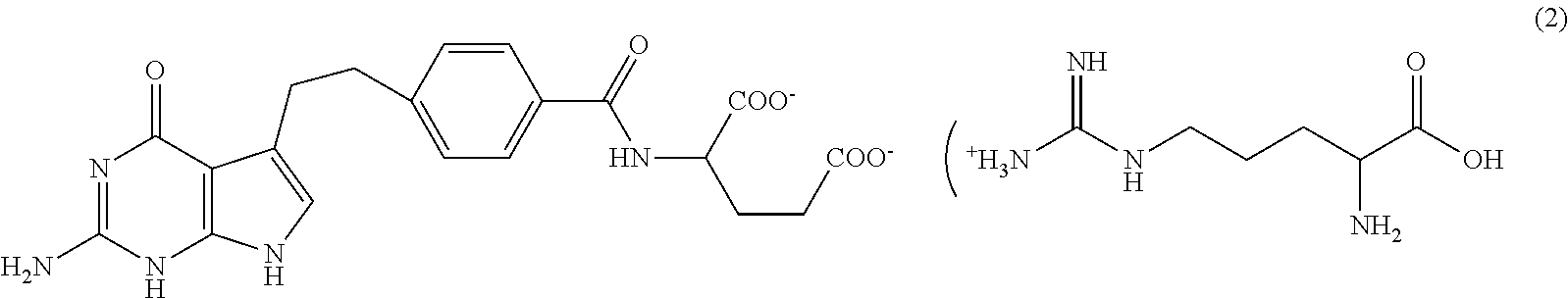
   keemiline struktuur  

Kaubanduslikud nimed erinevates maades   Kaubanduslikud nimed erinevates maades     

Preparaatide nimed on näitlikud ja abianete sisaldus võib erineda sõltuvalt riigist ja laborist

Pemetrexed Mylan Prantsusmaa
Pemetrexed Ohre Pharma Prantsusmaa
Pemetrexed Zentiva Prantsusmaa
Stabiilsus lahustes   Süsteravim   Stabiilsus lahustes : Pemetrexed diarginine     
konteiner lahusti kontsentratsioon temperatuur ladustamine Stabiilsuse kestus Viited
klaas mitte ükski 25 mg/ml 2-8°C kaitsta valguse eest
14 päev
4546
Tõenduspõhisuse tase A

klaas mitte ükski 25 mg/ml 2-8°C valgusega või ilma valguseta
7 päev
4702
Tõenduspõhisuse tase A+

klaas mitte ükski 25 mg/ml 22-25°C valgus
1 päev
4546
Tõenduspõhisuse tase A

osaliselt kasutatud pudelid mitte ükski 25 mg/ml 2-8°C kaitsta valguse eest
7 päev
4702
Tõenduspõhisuse tase A+

osaliselt kasutatud pudelid mitte ükski 25 mg/ml 25°C valgus
4 päev
4702
Tõenduspõhisuse tase A+

polüolefiin naatriumkloriid 0.9% 12 mg/ml 2-8°C kaitsta valguse eest
4 päev
4546
Tõenduspõhisuse tase A

polüolefiin naatriumkloriid 0.9% 12 mg/ml 22-25°C valgus
1 päev
4546
Tõenduspõhisuse tase A

polüolefiin naatriumkloriid 0.9% 3 & 12 mg/ml 2-8°C valgusega või ilma valguseta
28 päev
4702
Tõenduspõhisuse tase A+

polüolefiin naatriumkloriid 0.9% 3 & 12 mg/ml 20-25°C valgusega või ilma valguseta
7 päev
4702
Tõenduspõhisuse tase A+

polüolefiin naatriumkloriid 0.9% 4,9 mg/ml 2-8°C kaitsta valguse eest
4 päev
4546
Tõenduspõhisuse tase A

polüolefiin naatriumkloriid 0.9% 4,9 mg/ml 22-25°C valgus
1 päev
4546
Tõenduspõhisuse tase A

polüolefiin glükoos 5% 12 mg/ml 2-8°C kaitsta valguse eest
4 päev
4546
Tõenduspõhisuse tase A

polüolefiin glükoos 5% 12 mg/ml 22-25°C valgus
1 päev
4546
Tõenduspõhisuse tase A

polüolefiin glükoos 5% 3 & 12 mg/ml 2-8°C valgusega või ilma valguseta
28 päev
4702
Tõenduspõhisuse tase A+

polüolefiin glükoos 5% 3 & 12 mg/ml 20-25°C valgusega või ilma valguseta
7 päev
4702
Tõenduspõhisuse tase A+

polüolefiin glükoos 5% 4,9 mg/ml 2-8°C kaitsta valguse eest
4 päev
4546
Tõenduspõhisuse tase A

polüolefiin glükoos 5% 4,9 mg/ml 22-25°C valgus
1 päev
4546
Tõenduspõhisuse tase A


  Mentions Légales