Siste oppdatering :
18/03/2026
kreft narkotika   Pemetrexed diarginine  
Injeksjon
Oppløsningsstabilitet Stabilitet i blandinger Faktorer som påvirker stabiliteten Kompatibilitet Administrasjonsmåte Referanser pdf
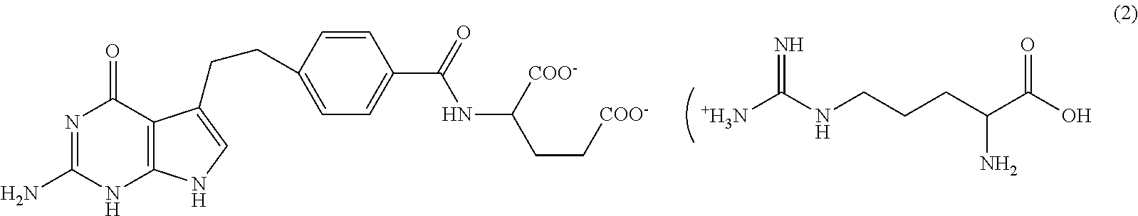
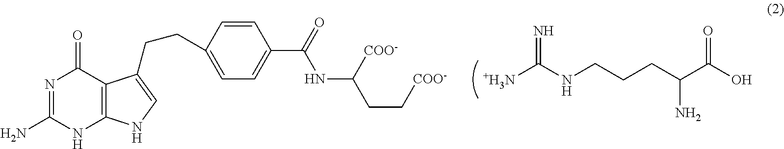
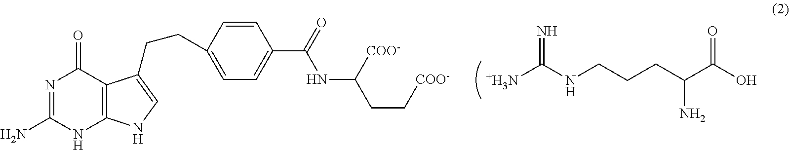
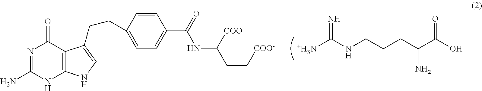
   Kjemisk struktur  

Handelsnavn   Handelsnavn     

Handelsnavn er veiledende og sammensetning av hjelpestoffer kan være forskjellig avhengig av land og produsent

Pemetrexed Mylan Frankrike
Pemetrexed Ohre Pharma Frankrike
Pemetrexed Zentiva Frankrike
Oppløsningsstabilitet   Injeksjon   Oppløsningsstabilitet : Pemetrexed diarginine     
Beholder Oppløsningsmiddel Konsentrasjon Temperatur Oppbevaring Varighet av stabilitet Referanser
Glass Ingen 25 mg/ml 2-8°C Beskyttes mot lys
14 Dag
4546
Bevisgrad A

Glass Ingen 25 mg/ml 2-8°C Med eller uten lys
7 Dag
4702
Bevisgrad A +

Glass Ingen 25 mg/ml 22-25°C Lys
1 Dag
4546
Bevisgrad A

delvis brukte hetteglass Ingen 25 mg/ml 2-8°C Beskyttes mot lys
7 Dag
4702
Bevisgrad A +

delvis brukte hetteglass Ingen 25 mg/ml 25°C Lys
4 Dag
4702
Bevisgrad A +

Polyolefin Natriumklorid 0,9 % 12 mg/ml 2-8°C Beskyttes mot lys
4 Dag
4546
Bevisgrad A

Polyolefin Natriumklorid 0,9 % 12 mg/ml 22-25°C Lys
1 Dag
4546
Bevisgrad A

Polyolefin Natriumklorid 0,9 % 3 & 12 mg/ml 2-8°C Med eller uten lys
28 Dag
4702
Bevisgrad A +

Polyolefin Natriumklorid 0,9 % 3 & 12 mg/ml 20-25°C Med eller uten lys
7 Dag
4702
Bevisgrad A +

Polyolefin Natriumklorid 0,9 % 4,9 mg/ml 2-8°C Beskyttes mot lys
4 Dag
4546
Bevisgrad A

Polyolefin Natriumklorid 0,9 % 4,9 mg/ml 22-25°C Lys
1 Dag
4546
Bevisgrad A

Polyolefin Glukose 5 % 12 mg/ml 2-8°C Beskyttes mot lys
4 Dag
4546
Bevisgrad A

Polyolefin Glukose 5 % 12 mg/ml 22-25°C Lys
1 Dag
4546
Bevisgrad A

Polyolefin Glukose 5 % 3 & 12 mg/ml 2-8°C Med eller uten lys
28 Dag
4702
Bevisgrad A +

Polyolefin Glukose 5 % 3 & 12 mg/ml 20-25°C Med eller uten lys
7 Dag
4702
Bevisgrad A +

Polyolefin Glukose 5 % 4,9 mg/ml 2-8°C Beskyttes mot lys
4 Dag
4546
Bevisgrad A

Polyolefin Glukose 5 % 4,9 mg/ml 22-25°C Lys
1 Dag
4546
Bevisgrad A


  Mentions Légales