viimane versioon :
18/03/2026
vähiravimite   Pemetrexed diarginine  
Süsteravim
Stabiilsus lahustes Stabiilsust mõjutavad tegurid stabiilsust mõjutavad faktorid Sobimatus Manustamis viis Viited pdf
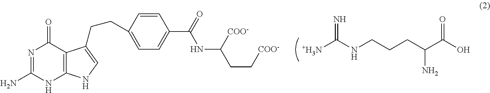
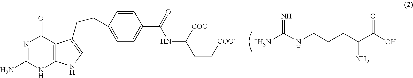
   keemiline struktuur  

Kaubanduslikud nimed erinevates maades   Kaubanduslikud nimed erinevates maades     

Preparaatide nimed on näitlikud ja abianete sisaldus võib erineda sõltuvalt riigist ja laborist

Pemetrexed Mylan Prantsusmaa
Pemetrexed Ohre Pharma Prantsusmaa
Pemetrexed Zentiva Prantsusmaa
Stabiilsust mõjutavad tegurid   Süsteravim   Stabiilsust mõjutavad tegurid : Pemetrexed diarginine     
andmed puuduvad

  Mentions Légales