Последнее обновление :
18/03/2026
Цитостатическое средство   Pemetrexed diarginine  
Инъекция
Стабильность растворов Стабильность смесей Факторы, которые влияют на стабильность Совместимость Способы введения Библиография pdf
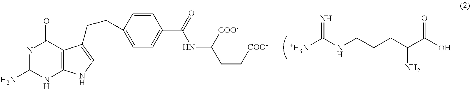
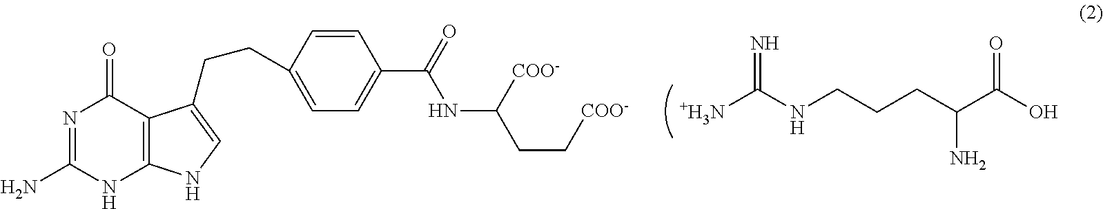
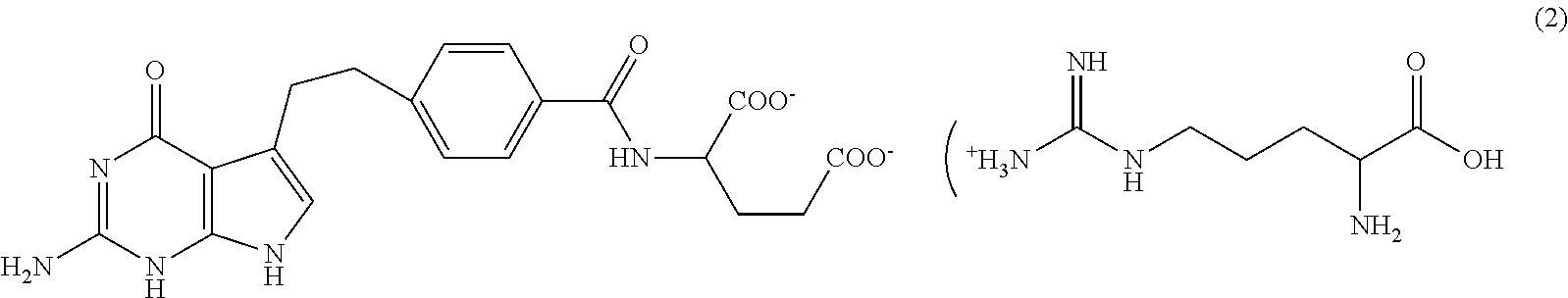
   Химическая структура  

Товарное название   Товарное название     

Trade names are indicative and excipients composition can be different depending on the country and manufacturers

Pemetrexed Mylan Франция
Pemetrexed Ohre Pharma Франция
Pemetrexed Zentiva Франция
Стабильность смесей   Инъекция   Стабильность смесей : Pemetrexed diarginine     
данных нет

  Mentions Légales