最新更新 :
18/03/2026
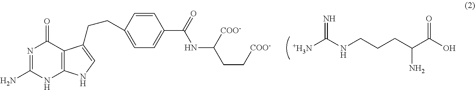
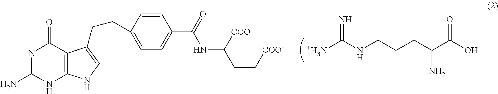
抗癌藥物   Pemetrexed diarginine  
注射液
溶液稳定性 混合物稳定性 影响稳定性的因素 兼容性 用药途径 引用文献 PDF
   化学式  

商品名   商品名     

商品名仅供参考, 药品所用的辅料可能依国家或厂商不同有所不同。

Pemetrexed Mylan 法国
Pemetrexed Ohre Pharma 法国
Pemetrexed Zentiva 法国
混合物稳定性   注射液   混合物稳定性 : Pemetrexed diarginine     
无数据

  Mentions Légales