Seneste opdatering :
18/03/2026
anticancer medicin   Pemetrexed diarginine  
Injektion
Stabilitet i (vandige) opløsninger Stabilitet i blandinger Faktorer der påvirker stabiliteten Kompatibilitet Administrationsvej Bibliografi pdf
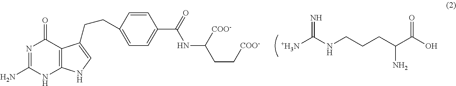
   Kemisk struktur  

Handelsnavn   Handelsnavn     

Handel navne er vejledende og hjælpestoffer sammensætning kan være forskellig afhængigt af landet og laboratorier

Pemetrexed Mylan Frankrig
Pemetrexed Ohre Pharma Frankrig
Pemetrexed Zentiva Frankrig
Stabilitet i blandinger   Injektion   Stabilitet i blandinger : Pemetrexed diarginine     
Ingen data

  Mentions Légales