Zadnji put ažurirano :
18/03/2026
lijek protiv karcinoma   Pemetrexed diarginine  
injekcija
Stabilizacija rješenja Stabilnost mješavine Stabilizacijski faktor Kompatibilnosti način davanja lijeka Bibliografija pdf
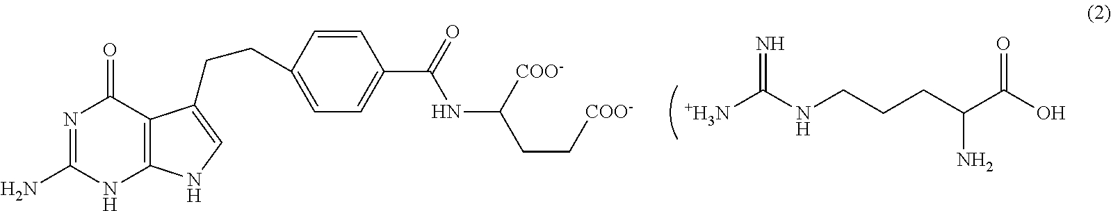
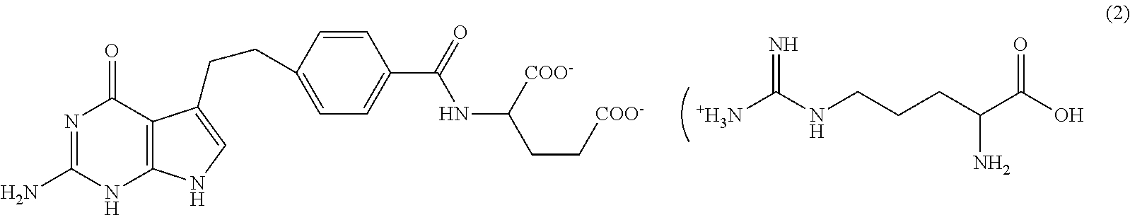
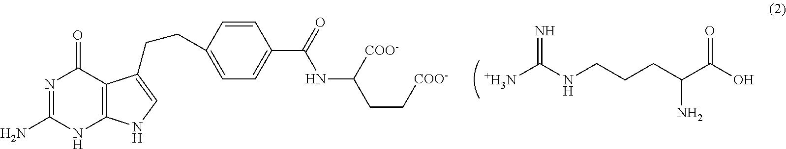
   Kemijska struktura  

Nekomercijalni   Nekomercijalni     

Zaštićeni nazivi su indikativni i sastav ekscipijensa može biti različit ovisno o državi i laboratorijima

Pemetrexed Mylan Francuska
Pemetrexed Ohre Pharma Francuska
Pemetrexed Zentiva Francuska
Stabilnost mješavine   injekcija   Stabilnost mješavine : Pemetrexed diarginine     
bez podataka

  Mentions Légales