Ultimele actualizari :
18/03/2026
Vitamina   Phytomenadione  
Injectabil
Soluţie orală
Stabilitatea in solutie Stabilitatea in amestec Factorii care influenteaza stabilitatea Compatibilitate Microunde Bibliografie pdf
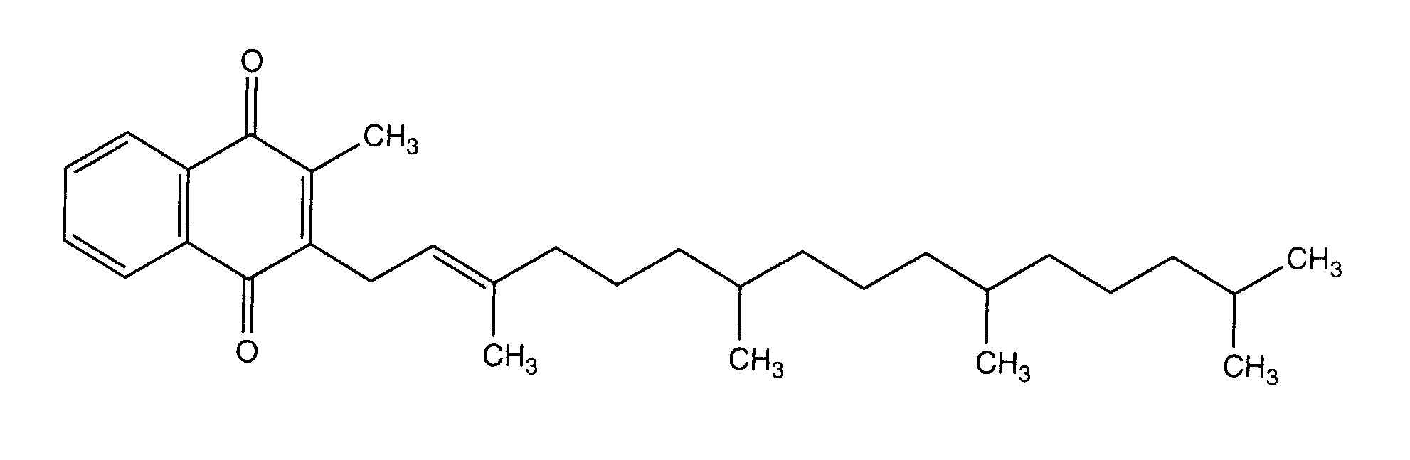
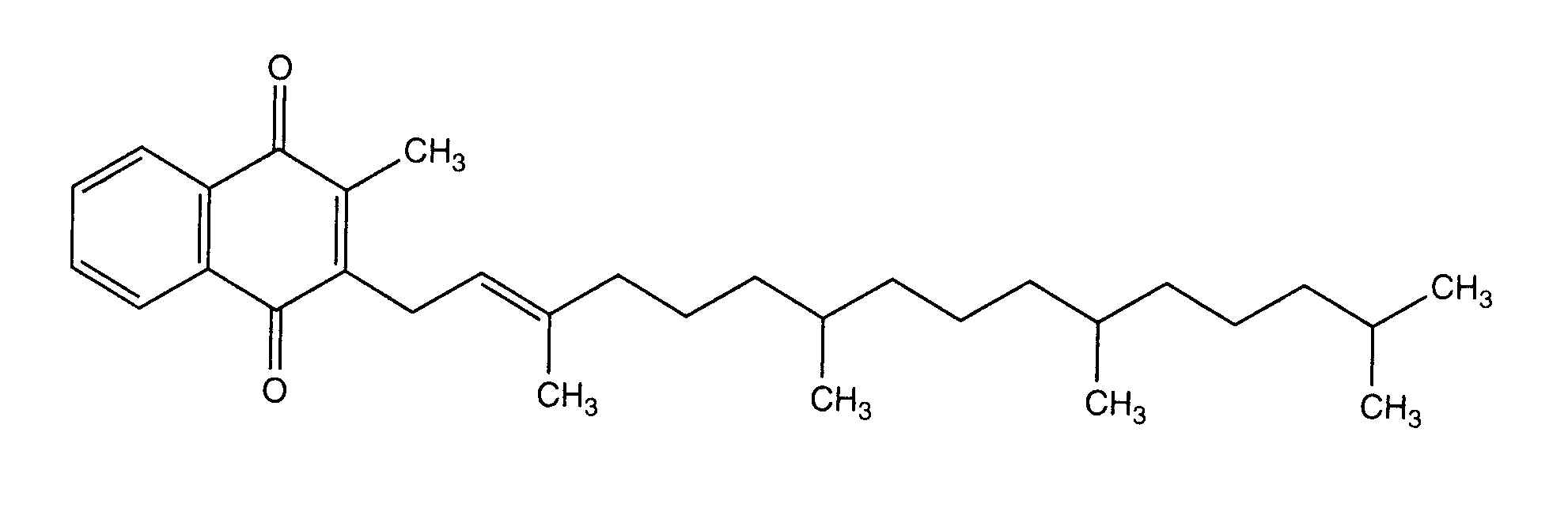
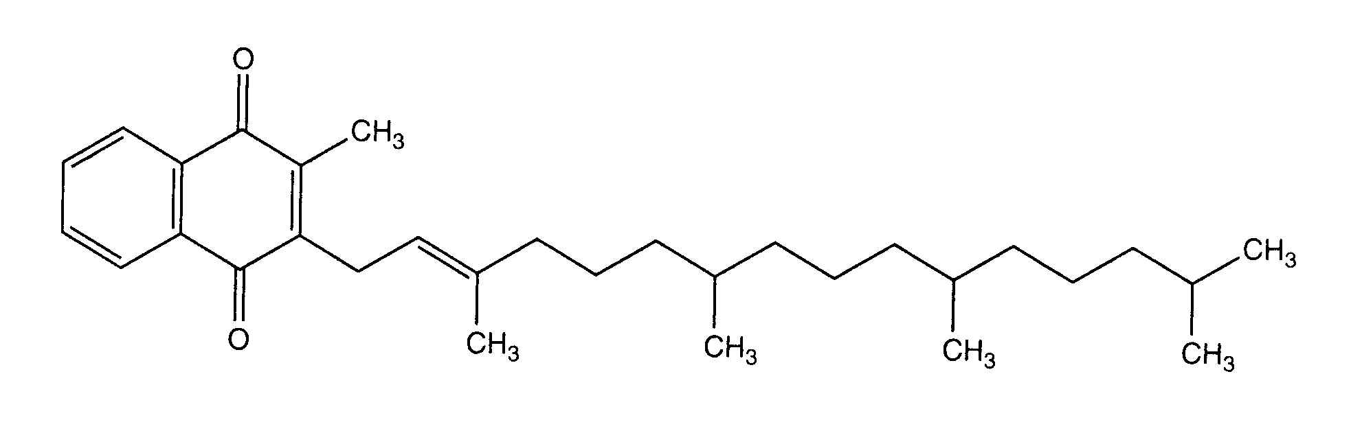
   Formula chimica  

Denumirea comerciala   Denumirea comerciala     

Trade names are indicative and excipients composition can be different depending on the country and manufacturers

Adcokion Egipt
Amidalak Mexic
Amri-K Egipt
Aquamephyton SUA
Epikavit Egipt
Haemokion Egipt
Hyvit Brazilia
Kanakion Brazilia, Portugalia
Kavit Brazilia
Kenadion India
Kisan Malaezia
Konakion Arabia Saudita, Argentina, Austria, Belgia, Chilli, Columbia, Croatia, Danemarca, Ecuador, Egipt, Elvetia, Emiratele Arabe Unite, Finlanda, Germania, Grecia, Irlanda, Islanda, Italia, Luxemburg, Marea Britanie, Maroc, Norvegia, noua Zeelandă, Olanda, Polonia, Spania, Suedia, Turcia, Ungaria
Oskavit Iran
Rupek Argentina
Vikadic Iran
Vitatron Brazilia

Factorii care influenteaza stabilitatea   Injectabil   Factorii care influenteaza stabilitatea : Phytomenadione        
Bibiografie
Conservare Lumina Provoaca Degradare 951

  Mentions Légales