Utolsó frissítés :
18/03/2026
Vitamin   Phytomenadione  
Injekció
belsőleges oldat
Az oldatok stabilitása A keverékek stabilitása Stabilitást befolyásoló tényezők Kompatibilitás Az alkalmazás módja Irodalom pdf
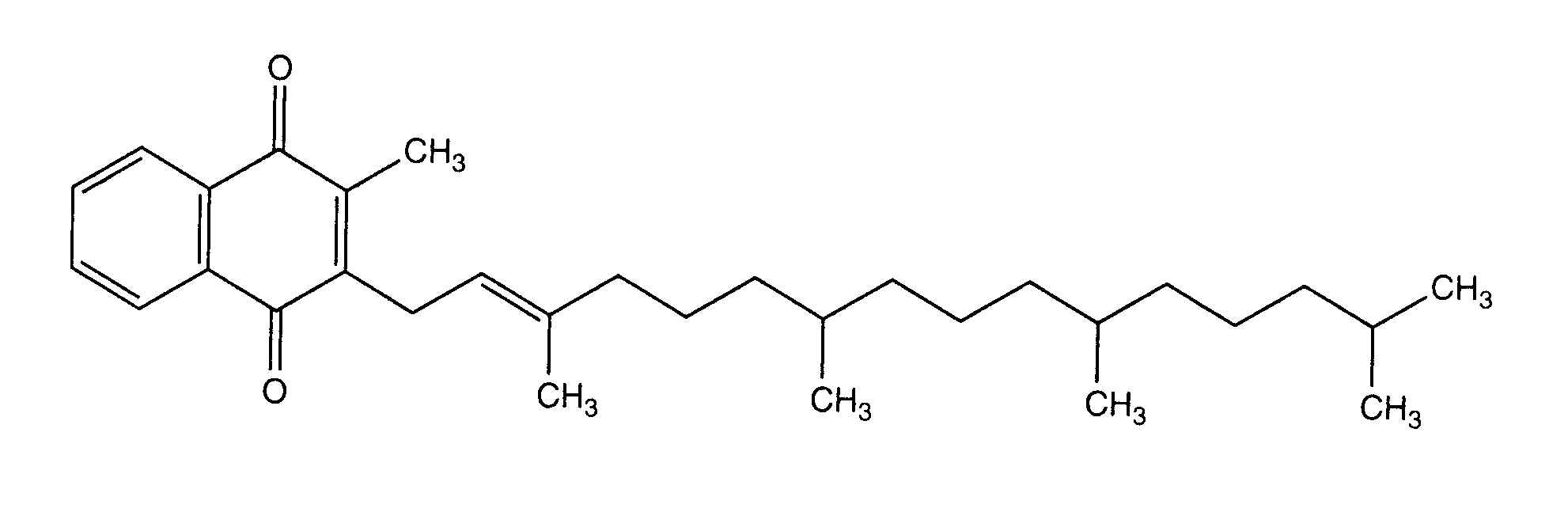
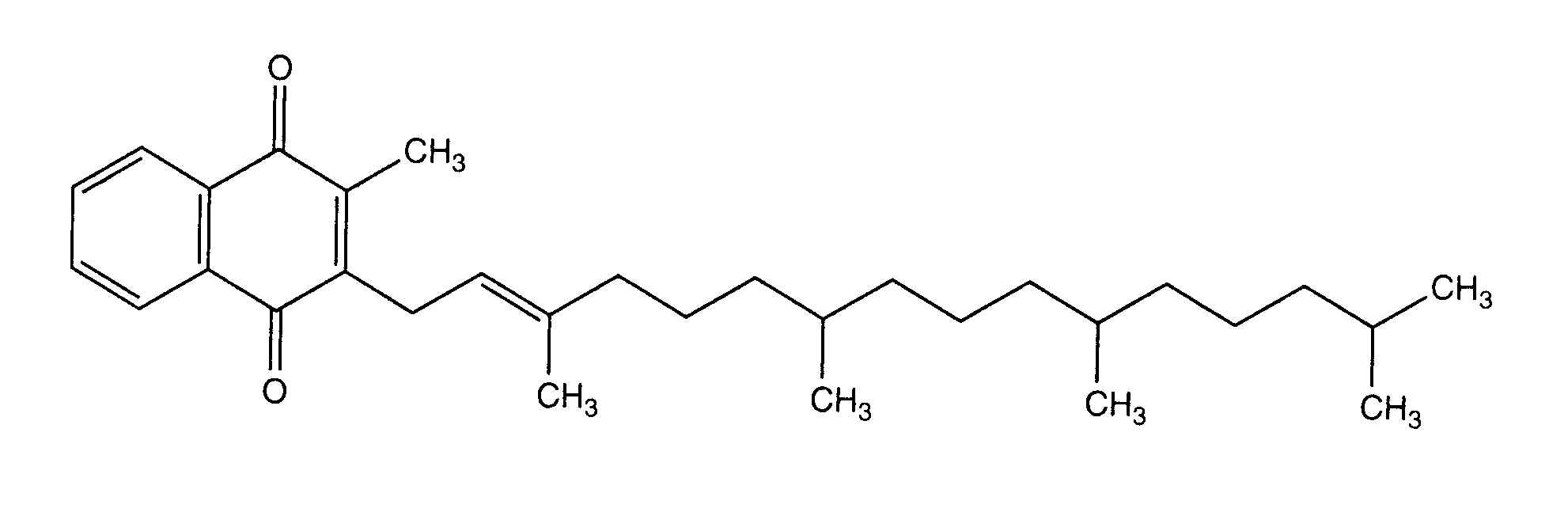
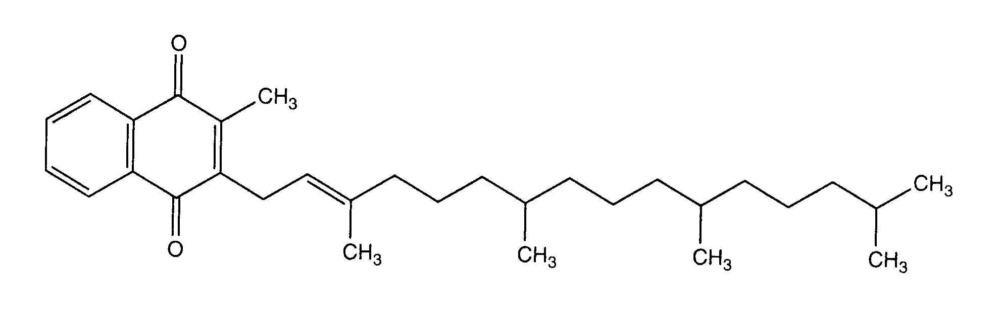
   Kémiai szerkezet   

Kereskedelmi név   Kereskedelmi név     

A kereskedelmi név meghatározó jelentőségű: a készítmények összetétele országonként, előállítóként eltérő lehet

Adcokion Egyiptom
Amidalak Mexikó
Amri-K Egyiptom
Aquamephyton Amerikai Egyesült Államok
Epikavit Egyiptom
Haemokion Egyiptom
Hyvit Brazília
Kanakion Brazília, Portugália
Kavit Brazília
Kenadion India
Kisan Malaysia
Konakion Argentína, Ausztria, Belgium, Chile, Colombia, Dánia, Ecuador, Egyesült Arab Emírségek, Egyiptom, Finnország, Görögország, Hollandia, Horvátország, Írország, Izland, Lengyelország, Luxemburg, Magyarország, Marokkó, Nagy-Britannia, Németország, Norvégia, Olaszország, Spanyolország, Svájc, Svédország, Szaúd-Arábiában, Törökország, új-Zéland
Oskavit Irán
Rupek Argentína
Vikadic Irán
Vitatron Brazília

Stabilitást befolyásoló tényezők   Injekció   Stabilitást befolyásoló tényezők : Phytomenadione        
Irodalom
Tárolás Fény Előidéz Lebomlás 951

  Mentions Légales