Seneste opdatering :
17/12/2025
Vitamin   Phytomenadione  
Injektion
Oral opløsning
Stabilitet i (vandige) opløsninger Stabilitet i blandinger Faktorer der påvirker stabiliteten Kompatibilitet Administrationsvej Bibliografi pdf
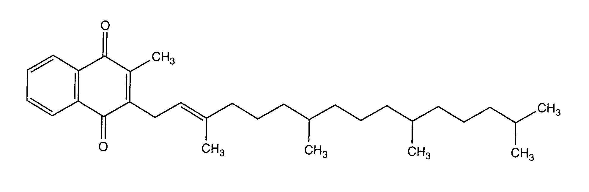
   Kemisk struktur  

Handelsnavn   Handelsnavn     

Handel navne er vejledende og hjælpestoffer sammensætning kan være forskellig afhængigt af landet og laboratorier

Adcokion Ægypten
Amidalak Mexico
Amri-K Ægypten
Aquamephyton USA
Epikavit Ægypten
Haemokion Ægypten
Hyvit Brasilien
Kanakion Brasilien, Portugal
Kavit Brasilien
Kenadion Indien
Kisan Malaysia
Konakion Argentina, Belgien, Chile, Colombia, Danmark, Ecuador, Finland, Forenede Arabiske Emirater, Grækenland, Holland, Irland, Island, Italien, Kroatien, Luxemborg, Marokko, New Zealand, Norge, Polen, Saudi-Arabien, Schweiz, Spanien, Storbritanien, Sverige, Tyrkiet, Tyskland, Ungarn, Ægypten, Østrig
Oskavit Iran
Rupek Argentina
Vikadic Iran
Vitatron Brasilien

Faktorer der påvirker stabiliteten   Injektion   Faktorer der påvirker stabiliteten : Phytomenadione        
Bibliografi
Konservering Lys Fremkalde Nedbrydning 951

  Mentions Légales