Poslední aktualizace :
18/03/2026
Vitamin   Phytomenadione  
injekce
Perorální roztok
Stabilita roztoků Stabilita směsí Faktory ovlivňující stabilitu Kompatibilita Způsoby aplikace Odkazy pdf
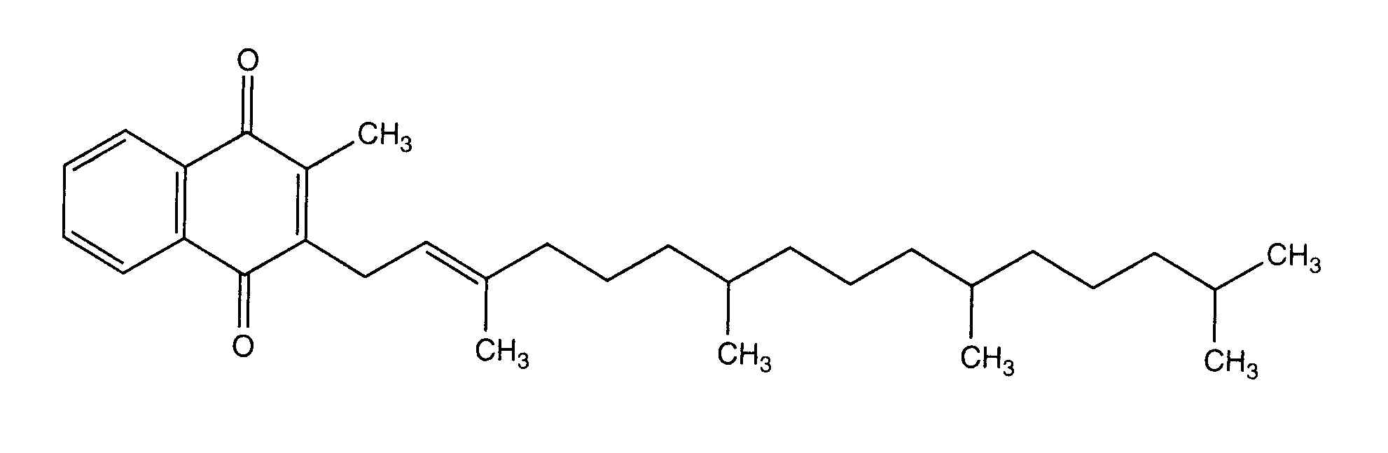
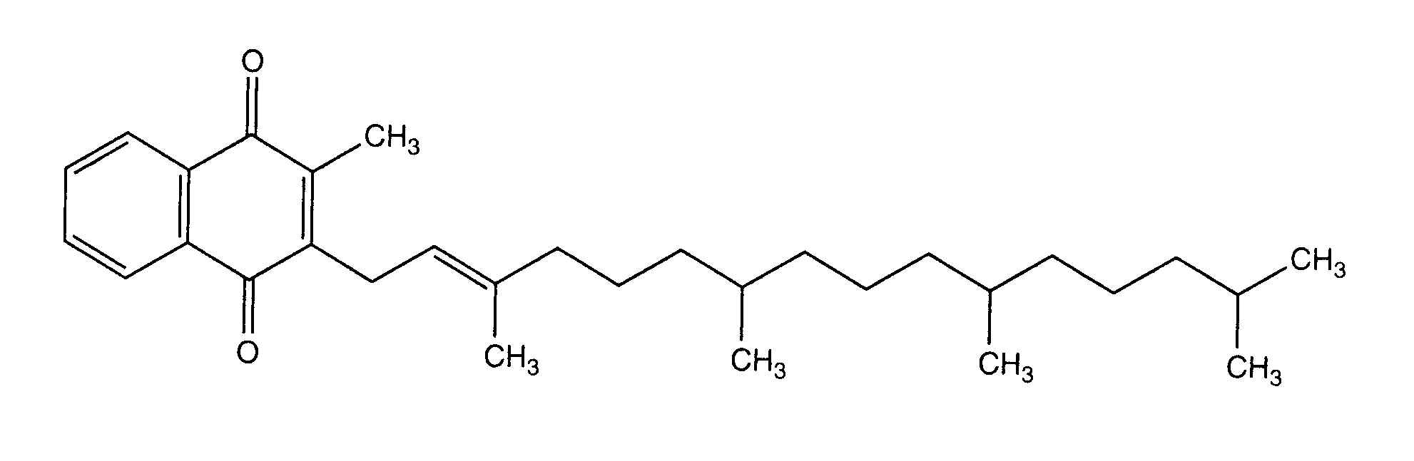
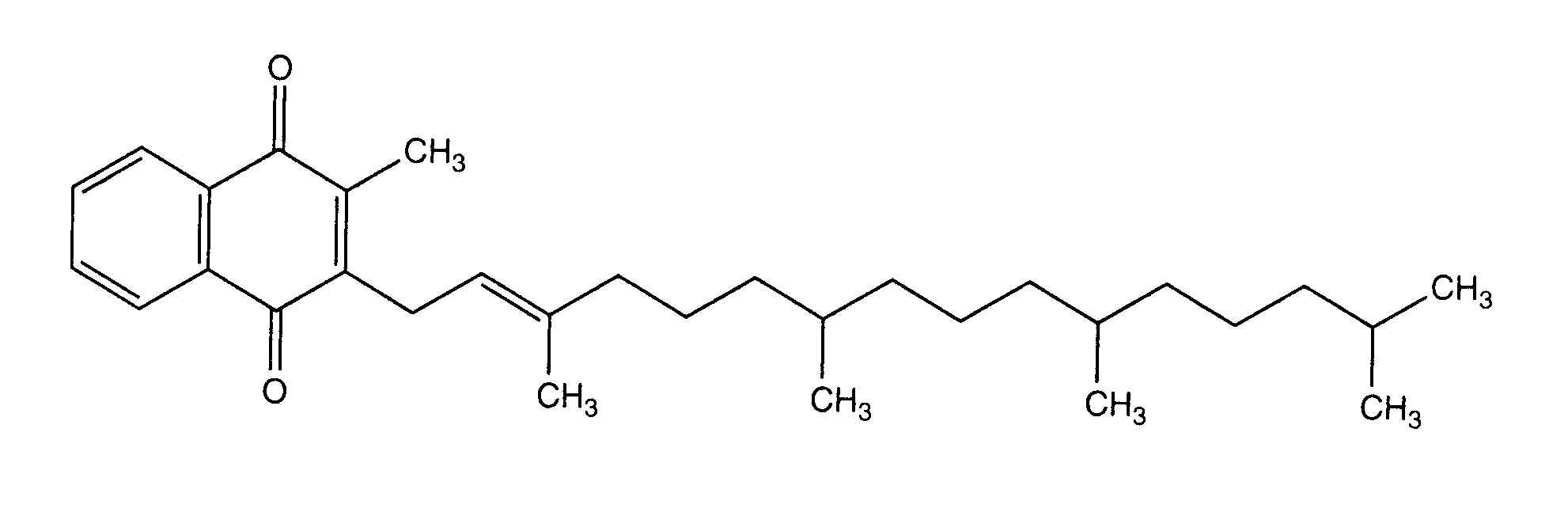
   Chemický vzorec  

Obchodní název   Obchodní název     

Trade names are indicative and excipients composition can be different depending on the country and manufacturers

Adcokion Egypt
Amidalak Mexiko
Amri-K Egypt
Aquamephyton USA
Epikavit Egypt
Haemokion Egypt
Hyvit BrazÌlie
Kanakion BrazÌlie, Portugalsko
Kavit BrazÌlie
Kenadion Indie
Kisan Malajsie
Konakion äpanÏlsko, Argentina, Belgie, Chile, Chorvatsko, Dánsko, Egypt, Ekvádor, Finsko, Irsko, Island, Itálie, Kolumbie, Lucembursko, MaÔarsko, Maroko, NÏmecko, Nizozemsko, Norsko, nový Zéland, Polsko, Rakousko, Saúdská Arábie, Spojené arabské emiráty, Švédsko, Švýcarsko, Turecko, Velká Británie, ÿecko
Oskavit Írán
Rupek Argentina
Vikadic Írán
Vitatron BrazÌlie

Faktory ovlivňující stabilitu   injekce   Faktory ovlivňující stabilitu : Phytomenadione        
Odkazy
Uchovávání SvÏtlo Indukuje Rozklad 951

  Mentions Légales