Viimeisin päivitys :
18/03/2026
Vitamiinit   Phytomenadione  
Injektioneste
Oraaliliuos
Stabilius liuoksessa Stabilius seoksissa Tekijät, jotka vaikuttavat stabiliuteen Yhteensopivuus Antotapa Viitteet pdf
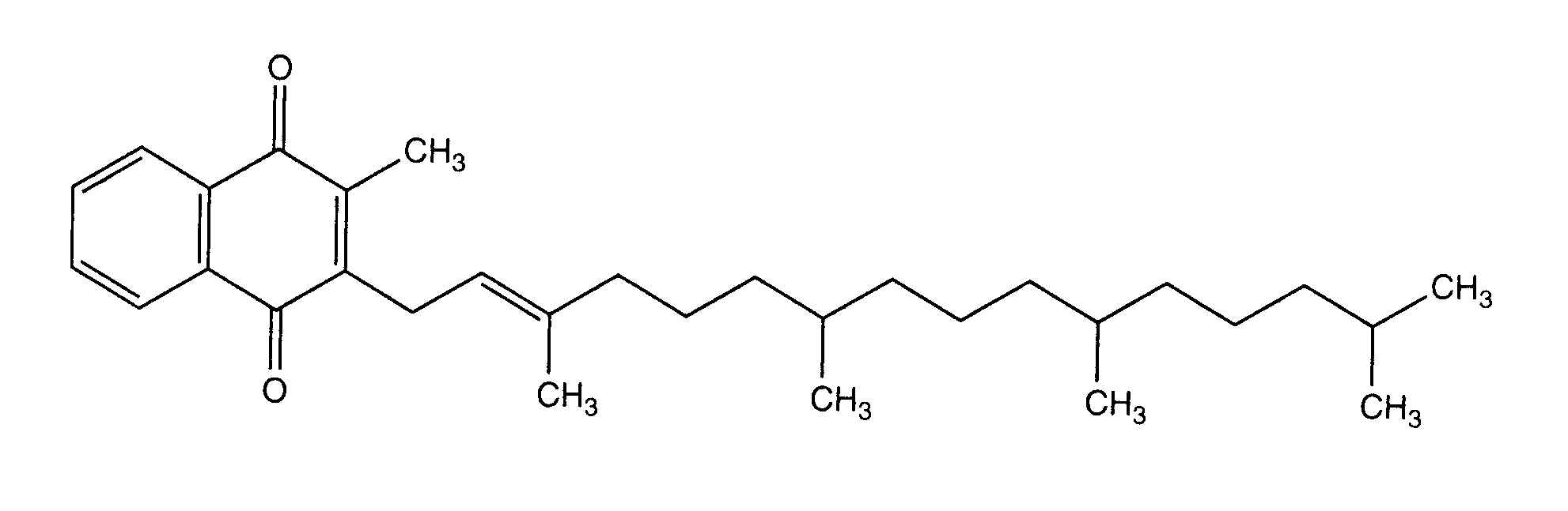
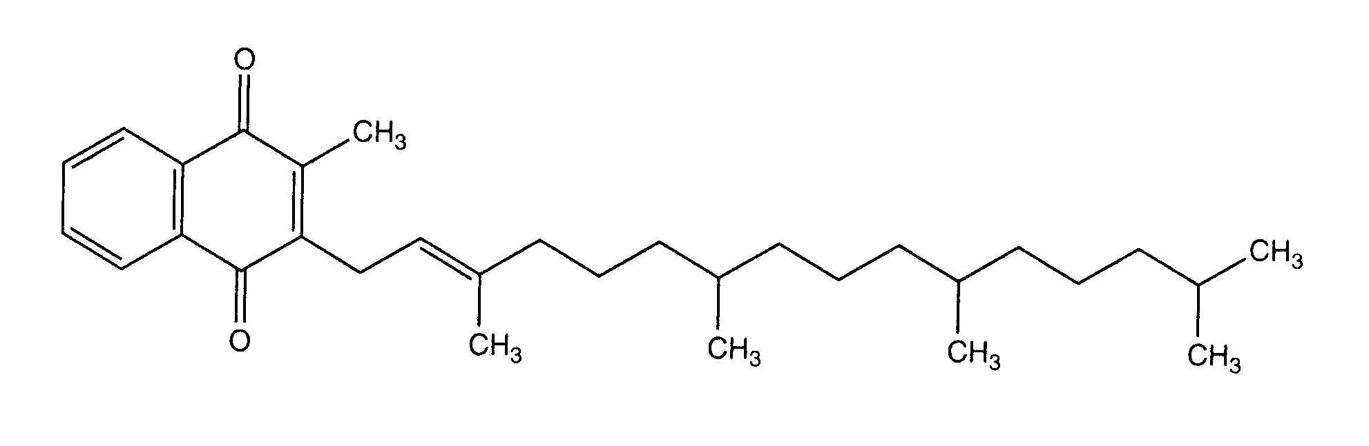
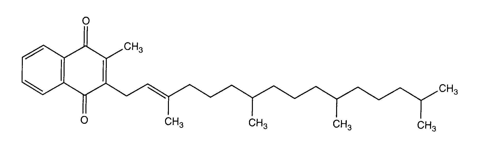
   Kemiallinen rakenne  

Kauppanimi   Kauppanimi     

Trade names are indicative and excipients composition can be different depending on the country and manufacturers

Adcokion Egypti
Amidalak Meksiko
Amri-K Egypti
Aquamephyton Yhdysvallat
Epikavit Egypti
Haemokion Egypti
Hyvit Brasilia
Kanakion Brasilia, Portugali
Kavit Brasilia
Kenadion Intia
Kisan Malesia
Konakion Argentiina, Belgia, Chile, Ecuador, Egypti, Espanja, Hollanti, Irlanti, Islanti, Iso-Britannia, Italia, Itävalta, Kolumbia, Kreikka, Kroatia, Luxemburg, Marokko, New Zealand, Norja, Puola, Ruotsi, Saksa, Saudi-Arabia, Suomi, Sveitsi, Tanska, Turkki, Unkari, Yhdistyneet arabiemiirikunnat
Oskavit Iran
Rupek Argentiina
Vikadic Iran
Vitatron Brasilia

Tekijät, jotka vaikuttavat stabiliuteen   Injektioneste   Tekijät, jotka vaikuttavat stabiliuteen : Phytomenadione        
Viitteet
Säilytys Valo Aiheuttaa Hajoaminen 951

  Mentions Légales